1 前言
国际热核聚变实验堆(International Thermal-nuclear Experimental Reactor,简称ITER)是正在进行的一项大型国际合作项目,其目标是建造一个可自持燃烧的托卡马克聚变实验堆,以验证热核聚变反应堆的工程可行性,并对实际应用核聚变能时所需的各种要素进行试验[1]。超导磁体系统是整个装置的关键部件之一,而磁体馈线系统是超导磁体系统的重要部分,包括杜瓦内部馈线、过渡馈线(Cryostat Feedthrough,CF)、线圈终端盒(Coil Terminal Boxes,CTB)等。
作为磁体馈线系统的主要组成,磁体过渡馈线系统(Cryostat Feedthrough,CF)由外部壳体、内部超导电流传输线(Busbar)、冷却管路和诊断电缆等组成(见图1),是磁体进行供电、冷却、诊断等的主要通道。因此,磁体过渡馈线系统的合理设计直接关系到整个超导磁体系统的正常运行。

图1 磁体过渡馈线系统
2 过渡馈线系统的设计与分析
2.1 外部壳体
CF的外部壳体对内部各组件起支撑保护作用,其结构的设计受到大杜瓦周围空间布局的限制。外部壳体属于室温部件,包括直线段和容纳S形弯曲的盒体部分。考虑到地震载荷会引起S弯盒和CTB相对杜瓦的移动,所以直线段设计波纹管段,以满足S弯盒和CTB固定的要求,波纹管厚3mm,3个波节,长约180mm,其它部分采用直径850mm的圆管。S弯盒设计成长4.3m,宽1.3m,高1.5m的长方体以满足总高不超过2m的要求,表面设计辅助加强框架,框架高约150mm。为减小电磁力,壳体材料均采用304不锈钢。室温(20°C)时,304不锈钢的材料特性为:弹性模量为195GPa,泊松比0.247,密度7900kg/m3,许用强度197MPa。
过渡馈线穿过杜瓦壁,与CTB相连,其内部与杜瓦直接相通,所以磁体正常运行时,壳体内部为杜瓦真空,这时壳体主要承受0.1MPa的内外压差和地震载荷作用。采用ANSYS有限元分析软件分别对两种载荷的作用效果进行分析。当外部壳体承受0.1MPa作用时,直线段最大变形量为0.0504mm ,最大等效应力为25.9MPa。S弯盒的最大变形量为2.976mm ,最大等效应力102.99MPa(见图2)。
根据法国Cadarache的地震谱[2],利用ANSYS分析软件对S弯盒进行模态分析和地震分析,获得的固有频率见表1,最大应力和位移结果见表2。可以看出,尽管地震载荷在X方向的作用最为剧烈,但仍远远小于静载对S弯盒的作用,说明S弯盒与地震载荷没有发生共振。因此,地震载荷的作用可以忽略。
表1 S弯盒固有频率

表2 S弯盒在地震载荷作用下的最大应力和最大位移

2.2 CF冷屏
在CF外部壳体和超导Busbar、冷却管之间设计80K低温屏蔽层的结构,目的是屏蔽来自外部壳体的热辐射,减少对4.5K温区的热负荷。采用双层不锈钢板作为屏蔽板,并对双层板表面进行多层绝热箔层处理[3]。冷却管位于双层板之间,呈蛇形布置,起辅助加强作用。冷屏及其辅助部件采用304L不锈钢(UNS S30403)和玻璃环氧复合材料,如G10等。
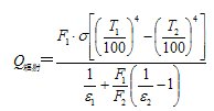
不同温区物体之间的辐射传热近似公式为[4]:
(1)
式中,Q为热流量(单位:W), F1、F2为热、冷壁表面积,T1、T2为热、冷壁温度,ε1、ε2为热、冷壁表面辐射系数,σ为斯蒂芬-波尔兹曼常数,取值为5.67W/(m2•K4)。
经计算,CF外壳内表面积F1约为54.07m2,冷屏表面积F2约为50.7m2。材料表面辐射系数由材料的种类、表面加工工艺及表面温度、表面结霜或结露情况决定。304不锈钢室温时的辐射系数约为0.08,80K时辐射系数为0.02。多层绝热箔层为铝箔,80K时辐射系数为0.018。银镀层80K时辐射系数为0.083。将上面的数值代入公式(1),计算出辐射热量约为12.8W。