您现在的位置:e-works > 智造书屋 > 书籍列表 > MATLAB数字图像处理实战 > 图像的色彩空间

第三章 数字图像分析

第一节 图像的色彩空间

3.1.1 常见的色彩空间

    为了用计算机来表示和处理颜色,必须采用定量的方法来描述颜色,即建立颜色模型来支持数字图像的生成、存储、处理及显示。为了方便对彩色图像的研究,研究者建立了多种不同色彩空间对应的不同处理和转换。目前广泛采用的颜色模型有三大类,即计算颜色模型、工业颜色模型和视觉颜色模型。计算颜色模型又称为色度学颜色模型,主要应用于纯理论研究和计算推导;工业颜色模型侧重于实际的实现技术,广泛应用于计算机图形学和图像处理中,其通常采用RGB基色体系。

    (1)RGB色彩空间

    美国国家电视系统委员会(NTSC)为显示器上显示彩色图像而提出的RGB彩色系统模型是最重要的工业颜色模型。RGB彩色系统构成了一个三维的彩色空间(R,G,B)坐标系中的一个立方体。R、G、B是彩色空间的三个坐标轴,每个坐标都量化为0~255,0对应最暗,255对应最亮。这样所有的颜色都将位于一个边长为256的立方体内。彩色立方体中任意一点都对应一种颜色,黑色(0,0,0)位于坐标系原点,其中0≤R≤255,0≤G≤255,0≤B≤255,如图3-2所示。

 图3-2 RGB彩色立方体

图3-2 RGB彩色立方体

    RGB颜色空间是图像处理中最基础的颜色模型,它是在配色实验的基础上建立起来的,RGB颜色空间建立的主要依据是人的眼睛有红、绿、蓝三种色感细胞,它们的最大感光灵敏度分别落在红色、蓝色和绿色区域,其合成的光谱响应就是视觉曲线,由此推出任何彩色都可以用红、绿、蓝三种基色来配置。

    (2)HSV色彩空间

    如图3-3所示,HSV(Hue,Saturation,Value)色彩空间的模型对应于圆柱坐标系中的一个圆锥形子集,圆锥的顶面对应于V=1。它包含RGB模型中的R=1、G=1、B=1三个面,所代表的颜色较亮。色彩H由绕V轴的旋转角给定。红色对应于角度0°,绿色对应于角度120°,蓝色对应于角度240°。在HSV颜色模型中,每一种颜色和它的补色相差180°。饱和度S取值为0~1,所以圆锥顶面的半径为1。在圆锥的顶点(原点)处,V=0,H和S无定义,代表黑色;圆锥的顶面中心处S=0,V=1,H无定义,代表白色;从该点到原点代表亮度渐暗的灰色,即具有不同灰度的灰色。对于这些点,S=0,H的值无定义。可以说,HSV模型中的V轴对应于RGB颜色空间的主对角线。在圆锥顶面的圆周上的颜色,V=1,S=1,这种颜色是纯色。

    由于HSV模型可以只用反映色彩本质特性的色度、饱和度来进行各种颜色的聚类,将亮度信息和灰度信息从色彩中提取出去,从而去掉光照的影响,将颜色和亮度分开处理,使程序具有更强的鲁棒性,比RGB模型具有更好的识别效果。色度和饱和度属性能比较准确地反映颜色种类,对外界光照条件的变化敏感程度低。

 图3-3 HSV彩色立方体

图3-3 HSV彩色立方体

    颜色从RGB到HSV转换为非线性变换,其转换关系如下。

     HSV色彩空间

    式中,r、g、b分别为图像的三基色的灰度值;h、s、v分别为图像的色度、饱和度、亮度。

    (3)YUV空间

    YUV色彩空间利用了人眼对亮度信息更加敏感的特点,把由视觉传感器采集得到的彩色图像信号,经分色后分别放大校正得到RGB图像,再经过矩阵变换电路得到亮度信号Y和两个色差信号B-Y(Cb)、R-Y(Cr),最后发送端将亮度和色差三个信号分别进行编码,用同一信道发送出去,用公式表示如下:

     YUV空间

    YUV空间中,常用的格式有4∶4∶4,4∶2∶2,4∶2∶0等。以4∶2∶2格式为例,它对每个像素的亮度(Y)进行采集,而对色差U和V则每两个像素采集一次,其在内存中的存放格式如表3-1所示。

表3-1  YUV422格式在内存中的形式

 表3-1  YUV422格式在内存中的形式

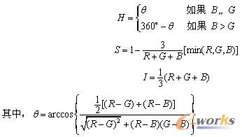
    (4)HSI色彩空间

    HSI颜色空间从人的视觉系统出发,用色调(Hue)、色饱和度(Saturation或Chroma)和亮度(Intensity或Brightness)来描述色彩。HSI颜色空间可以用一个圆锥空间模型来描述。

    通常把色调饱和度通称为色度,用来表示颜色的类别与深浅程度。由于人的视觉对亮度的敏感程度远强于对颜色浓淡的敏感程度,为了便于色彩处理和识别,人的视觉系统经常采用HSI颜色空间,它比RGB颜色空间更符合人的视觉特性。在图像处理和计算机视觉中,大量算法都可以在HSI颜色空间中方便地使用,由于H、S、I三个分量相互独立,可以将它们分开处理。因此,使用HSI颜色空间可以大大简化图像分析和处理的工作量。

    RGB色彩空间和HSI色彩空间可以相互转换。假设R、G和B分别代表RGB颜色空间的三个分量,HSI空间的三个分量H、S和I计算如下。

    HSI色彩空间
 
    (5)灰度空间

    颜色可分为黑白色和彩色。黑白色指不包含任何的彩色成分,仅由黑色和白色组成。在RGB颜色模型中,如果R=G=B,则颜色(R,G,B)表示一种黑白颜色;其中R=G=B的值叫做灰度值,所以黑白色又叫做灰度颜色。彩色和灰度之间可以互相转化,由彩色转化为灰度的过程叫做灰度化处理。

    灰度化就是使彩色的R、G、B分量值相等的过程。由于R、G、B的取值范围是0~255,所以灰度的级别只有256级,即灰度图像仅能表现256种颜色(灰度)。

    灰度化处理的方法有如下3种。

    *最大值法:使R、G、B的值等于3值中最大的一个。最大法会形成很高色亮度图像。

    *平均值法:使R、G、B的值等于求出平均值。平均值法会形成较柔和的灰度图像。

    *加权平均法:根据重要性或其他指标给R、G、B赋予不同的权值,并使R、G、B的值加权平均,即

    R=G=B=(WrR+WgG+WbB)/3

    其中,Wr、Wg、Wb分别为R、G、B的权值。Wr、Wg、Wb取不同的值,加权平均法就将形成不同的灰度图像。由于人眼对绿色的敏感度最高,红色次之,对蓝色的敏感度最低,因此,使Wr>Wg>Wb将得到合理的灰度图像。