您现在的位置:e-works > 智造书屋 > 书籍列表 > MATLAB数字图像处理实战 > 图像的不变矩

第四章 图像特征提取

第一节 图像的不变矩

    图像分析中的一个关键问题就是如何获得一种有效的图像描述量,用一个很小的数据集合就可以代表图像。由于被识别的图像与原图像相比一般有很大程度的失真,如平移、旋转和其他变化,所以研究者还希望该图像描述量对于图像的各种畸变不敏感。不变矩(Invariant Moments,IMg)是一种高度浓缩的图像特征,具有平移、灰度、尺度、旋转不变性,因此矩和矩函数被广泛用于图像的模式识别、图像分类、目标识别和场景分析中。M.K.Hu在1961年首先提出不变矩的概念,并将几何矩(Geometric Moments,GMg)用于图像描述,但其低阶几何矩与图像的整体特征有关,不包含太多的图像细节信息,而高阶几何矩易受噪声影响,因此很难利用几何矩恢复图像。

4.1.1  不变矩的基本原理

    矩在统计学中表征随机量的分布,一幅灰度图像可以用二维灰度密度函数来表示,因此可以用矩来描述灰度图像的特征。

     不变矩的基本原理

     不变矩的基本原理

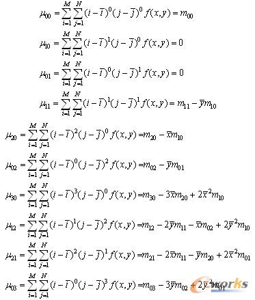
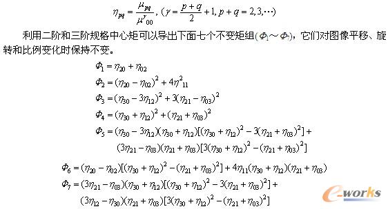
    为了消除图像比例变化带来的影响,定义规格化中心矩如下。

     不变矩的基本原理