3.2裂纹疲劳扩展的形状变化规律
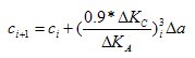
如图1两自由度模型所示,取裂纹上一点i 的变化过程为研究对象,每加载一个峰谷循环,裂纹前沿扩展一次,伸展至图1所示新裂纹上的点i+1 ,对于研究点i ,裂纹前沿的应力强度因子幅值
、 可用有限元计算得到,则由(2.3)式可计算出:
(3.1)
再由这两点拟合出裂纹前沿 i+1点形状参数比
,循环利用(3.1)式便可以计算出整个扩展过程。直至表面裂纹扩展至某一临界深度为止。
从图4中可以看出,不同裂纹初始形状参数比
值, a/c的极限值不同,但有相同的变化趋势;裂纹扩展过程中a/c 的比值不再保持为常数;随着裂纹的扩展过程而不断发生变化,变化的最终趋于初始条件为
=1的 a/c变化过程。
在a/t 小于0.6的范围内本文计算结果与理论公式吻合较好;在a/t 大于0.6后预测结果比理论推导结果偏低,这可能是因为裂纹较深后,裂纹深处至未裂表面间的条带屈服的影响,以及a/t 较大后应力强度因子计算公式的误差造成的。
(1)如图4(a),在a/t等于0.9时:
当
=0.6、0.8、1.0时 a/c趋近于0.81,比公式值低4.2%;
=0.4时 a/c趋近于0.77,比公式值低4.9%;
=0.2时 a/c趋近于0.63,比公式值低5.9%;
(2)如图4(b),在a/t等于0.9时:
当
=0.6、0.8、1.0时 a/c趋近于0.7,比公式值低7.9%;
=0.4时 a/c趋近于0.68,比公式值低8.1%;
=0.2时 a/c趋近于0.58,比公式值低7.9%;

(a) 

(b) 
图4 裂纹扩展过程中裂纹深度和表面裂纹半长度之比a/c的变化
4结论
本文对拉伸载荷作用下是疲劳裂纹扩展过程中其形状的变化规律进行了探讨,并进行了寿命预测,其结论如下:
(1)综合运用Paris-Erdogan的裂纹扩展公式和Newman-Raju的应力强度因子公式,可从理论上推导了各种条件下三维表面裂纹形状的变化规律。另外,通过ANSYS软件计算裂纹前缘应力强度因子,得到裂纹形状变化规律,最后,对两种方法的计算结果进行了比较。
(2)利用本文方法,可选择多自由度表面裂纹模型进行计算机模拟裂纹疲劳扩展,能较全面地研究裂纹形状变化情况,是研究裂纹疲劳扩展特性及构件疲劳失效原因行之有效的方法。
(3) 由算例可以看到,利用本文方法计算平板表面疲劳裂纹扩展,具有工作量小、程序实现方便、计算精度高的优点,为结构的疲劳裂纹扩展数值分析提供了强有力的工具。
(4) 由于Newman-Raju公式只能用于规则平板、中心裂纹的情况。对于复杂结构模型就不再适用,应用本文提供的方法可以获得各类含表面裂纹的复杂结构的裂纹形状扩展规律。这就为用有限元分析表面裂纹在工程中的直接应用,提供了更大的方便。
[参考文献]
[1]Wu SX. Shape change of surface during fatigue growth. Engng Fracture Mech 1985;22:897-913.
[2] Hosseini A, Mahmoud MA. Evaluation of stress intensity factor and fatigue growth of surface cracks in tension plates. Engng Fracture Mech 1985,22:957-974.
[3] Lin XB,Smith RA.Finite element modelling of fatigue crack growth of surface cracked plates-Part I:The numerical technique.Engng Fracture Mech 1999,63:503-522 .
注:本稿件来自安世亚太10周年优秀论文。
e-works为本文独家网络发布平台,本文所有内容,其他网站和平面媒体不得在未经授权的情况下以转载、复制或其他方式变相传播,违者负法律责任。