7.用友ERP-U8M解决方案
ERP_U8M系统涵盖了企业的六大管理职能(信息、营销、供应、生产、财务、规划),由20多个模块构成,各模块之间高度集成为一个完整的ERP系统。为企业彻底根除手工管理下无法解决的管理难题,提升整体管理水平,从而创造巨大的管理效益。
7.1 功能模块图

7.2. 总流程图

7.3. 系统管理

7.3.1权限管理
"用户管理"、" 用户组管理"、" 权限设定"作业,须由系统管理员执行;普通用户只能使用"用户菜单设定"和"用户密码变更"程序。系统管理员对用户组或用户分配其使用权限,可按用户组/用户、或模块、或程序进行用户权限分配
7.3.2 用户自定义项功能
在ERP-U8M系统中,若用户对本公司业务过程中有特殊的业务要求时,可以自定义部分业务数据,已便更好的反映公司生产过程中有特殊要求的业务
7.3.3 界面布局修改器
管理员就可以使用画面格式修改功能修改ERP-U8M系统中的各个用户界面:
数据维护画面修改
报表打印格式修改
修改栏位的各项属性
用户用户自定义栏位
维护静态文字显示栏位
维护数据栏位
维护数据计算栏位
维护报表打印页码/日期栏位
护位图显示栏位
维护报表分隔线段
7.3.4 自定义报表
根据用户需要自行设计报表样式,满足企业特殊的管理需求,并可通过自定义程序挂接在ERP-U8M系统中。
7.4. 共用资料
集成的管理信息系统, 有很多基本资料是各子系统共用的,比如部门资料、仓库资料、地区资料、料品基本资料、客户基本资料、供应商基本资料、委外商基本资料等。将各项共用资料集中, 可以简化各子系统的作业, 便于维护。
U8M中主要维护的共用资料有:
公司共享资料维护:单据自动编号、本公司基本资料、公司工作日历资料、系统期间设定、库存交易更新设定、库存交易在手量控制设定、备注资料、部门资料、业务员资料、仓库资料、地区资料、客户/厂商型态资料、客户/厂商类别资料、货运方式资料、交易条件资料、原因码资料、客户/产品价格群码资料。
财务共享资料维护:税率资料、币别参数资料、汇率资料、收/付款条件资料、料品成本资料、总账分类资料、总账分类来源设定。
料品共享资料维护:料品大/小分类资料、产品类别资料、料品基本资料、料品采购资料、料品销售资料、料品规划资料。
营销共享资料维护:售价参数资料、约定售价资料、营销系统参数资料、客户基本资料、客户料品资料。
厂商共享资料维护:供应商基本资料、委外商基本资料。
其它模块的正常运行都依赖共用资料的准确性,各模块之间的数据流如下图所示:

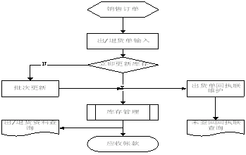
7.5. 销售管理
销售管理系统协助管理客户销售订单资料输入和销售订单履行周期的全过程,包括销售订单输入、审核、信用额度管制、出货状况追踪、关闭等,并提供整个过程相关的管理信息。支持外币作业,并自动依外币汇率转换本位币。
销售订单输入时主要参数:
销售订单号:由系统自动带出销售订单号
客户单号:输入台湾总公司的IO号码
客户代号:选择已维护好了的客户代号,发票地址和送货地址同时由所选的客户自动带出
预出仓库:按销售订单手册(报关明细)选择预入的手册仓库
备注:在表头备注中维护手册号
明细中维护不含税金额(申请手册时所算出的成品的价格)
明细的备注栏注明亚米士工单的PW号
业务流程图:

主要报表:
销售订单明细表
销售订单交货状况表
客户信用额度审核表
7.6. 出货管理
出货管理系统处理有关的客户信用、出货内容、收款条件、库存交易等出退货作业,并提供相关讯息,以达到下列目的:
客户信用控制,以降低信用风险
自动生成应收账款,以及时收款,提高资金周转
自动过账转扣库存,以保持库存最新动态状况
提供出货跟催讯息,以提高客户服务水平
业务流程图:

主要报表:
出(退)货明细资料表
料品出货追踪报表
未开发票明细资料表
7.7. 物料需求规划
物料需求规划根据客户销售订单或预测销售订单的需求, 通过物料清单展开得到料品的毛需求, 再与库存状况作比较,最后计算出各采购件、委外件及自制件的净需求量,做为 后续各系统 (采购、委外、生产订单) 的规划建议,已审核令单的若有时间、数量上的不适合,则会另建议提前、延后,或重新建议适合的令单数量。
物料需求规划达到的目的:
使销售订单、预测订单、采购、委外、自制等,相互间之间的数量要求,自动达到刚好而及时的效果。
由成品→半成品→原料,逐阶计算出真正的需求量,达到降低库存的目的。
同时考虑在单量(On-Order)、预约量(Allocated)等实际的供需时间,可正确的掌握需求的确实数量及时间,避免造成停工待料。
生产日程若有变动时,能迅速提供物料供应的情况,以便生产管理部门做出相应的对策。
业务流程图:

主要功能:
可以根据不同的需求来源计算物料需求:预测销售订单、客户销售订单、预测销售订单 + 客户销售订单
可以根据各料品设定的不同供需政策(LP/PE)生成生成的规划令单
各类规划令单的需求及审核日,由系统以倒推法依BOM 前后关系而自动推算
规划令单可以根据各料品设定的最小采购/生产数量和标准批量等生成,利于采购及生产的批量管理
生成的建议规划量 (规划令单) 资料可直接传送至各相关系统,进行生产订单、委外单及采购订单的规划
系统还提供BRP功能, 透过 BOM 的直接展开, 将销售订单的毛需求算出, 以毛需求规划采购、委外、自制等。
主要报表:
MRP供需打印
预计现存量打印
MRP出错讯息报表
[电脑产生]建议规划量打印
逾期令单打印-MRP件
待处理令单打印-MRP件
7.8. 生产管理
生产管理系统是针对制造工作中有关生产订单的规划、锁定、审核、备料、关闭等作业的管理。
生产管理的目的:
提供各种角度的跟催信息, 有效管理生产进度
提供缺料模拟分析, 做为调整生产进度的参考
提供依生产订单设定特殊用料功能, 供替代料及特殊用料使用
提供用料分析有效掌握各生产订单的用料及成本差异信息
针对需求规划生成的建议制造量, 提供分批规划及锁定的功能, 使生产计划人员规划作业时更具弹性
业务流程图:

主要功能:
生产订单有两种方式产生:手动输入生产订单、自动规划生产订单
已规划生产订单审核时,该生产订单的用料内容及数量即被预约, 即各用料的可用量依所需量而减扣, 以显示缺料情况
提供生产订单缺料状况模拟功能, 以利料品跟催, 生产前先确认采购及委外进度, 避免发生断料停工
根据生产订单领料时, 系统自动带出各生产订单所需料号及用量
依料品的制造型态, 提供两种领发料方式:离散型(Discrete Type )、自动倒扣(Backflush)标准用料
提供各生产订单的实际用料与标准用料差异分析, 以供成本分析及控制
已审核生产订单,可转入车间管理系统,以追踪管理生产订单于各工作中心、料品于各工序的生产进度等
已审核生产订单,可转入成本会计系统,以作为产品成本计算的依据
主要报表:
生产订单通知单打印
生产订单领料单打印
备料单打印
生产订单完工状况打印
生产订单缺料打印
生产订单用料打印
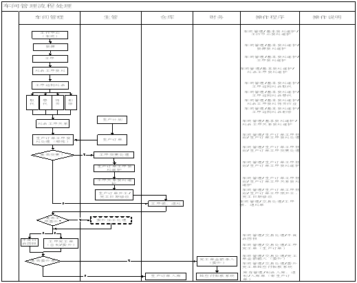
7.9. 车间管理
车间管理通常也称为车间控制,同采购作业一样都是计划的执行层次,车间管理只是执行计划,不能改动计划。控制生产作业在执行中不偏离计划,出现偏离时采取措施纠正偏差,若无法纠正将信息反馈到计划层。车间管理还负责报告生产作业执行结果。
主要功能:
料品工序资料可直接转至物料清单(BOM),节省建立物料清单时间
可根据生产订单工序处理领/退料及报完工作业
掌握各生产订单工序的实际用料状况
掌握各生产订单工序的完工状况
掌握各工作中心的工作负载
工序不良原因统计分析
统计工作中心生产效率
业务流程图:

7.10. 产能管理
产能管理系统在于协助企业有效地掌握车间产能负荷状况,并提供相关信息,可以通过模拟功能寻找解决负荷同能力冲突时的办法,但是能力需求计划不能直接提供方案,处理能力与需求的矛盾还是靠计划人员的分析与判断,靠计划人员对系统掌握和应用的熟练程度。以达下列目的:对已审核生产订单、已规划的生产订单,来规划生产订单在各工作中心的负载需求计算;分析各工作中心的产能/负载状况,为探讨长中短期生产计划可行性的依据。
业务流程图:

主要功能:
提供各工作中心的产能/负载查询或报表资料,掌控生产计划的可行性
提供各工作中心的计划投入/产出资料,监控计划执行偏差状况
提供顺推或逆推网状途程排程功能,排定生产订单(已审核、锁定、规划)的工序进度
可按各工作中心的工作时间,调整各工作中心的产能
按工作中心产能的负载(超载或低载)状况,调整各令单的日期/数量