对于随机过程,工程上常用的也是最基本的数字特征有均值(Mean)、方差(Variance)、标准偏差(Standard Deviation)、均方(Mean Square)和均方根(Root Mean Square,RMS)。
16.3.1 均值
均值即平均值,也称为数学期望。设x
1,x
2,…,x
n为随机变量,则均值均值可表达为:

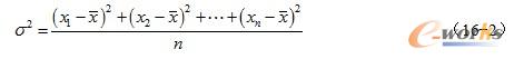
16.3.2 方差
方差σ
2表示对均值的偏离程度,定义为:

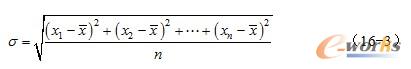
16.3.3 标准偏差
标准偏差σ简称为标准差,为方差的算术平方根,即:

16.3.4 均方
均方φ
2定义为随机变量的平方的平均值,即:

16.3.5 均方根
均方根φ为均方的算术平方根,即:

16.3.6 正态分布
在ANSYS中,假定随机振动输入、输出的均值为零,且满足正态(高斯)分布(见图16-1)。则方差等于均方,标准偏差等于均方根。

图16-1 正态分布的概率密度函数
ANSYS默认输出1σ的解,表示响应值小于1倍标准偏差的概率为68.26%。由图16-1可知,响应值小于两倍标准偏差(2σ)的概率为95.44%,小于3倍标准偏差(3σ)的概率为99.74%。可见,尽管正态变量的取值范围是(-∞,∞),但它的值落在(-3σ,3σ)内几乎是肯定的事,这就是人们所说的“3σ”法则。