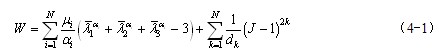
密封系统的超弹密封垫的材料使用两参数Ogden超弹模型模拟,Ogden形式的应变能势函数为

其中,N为材料常数;μi,αi和dk为材料常数。
式(4-1)中的N值取大些可以提供更好的拟合精度,然而,另一方面会引起数值拟合参数的困难并且还要求提供足够的数据来覆盖整个感兴趣的变形范围。因此建议N的取值不大于3,本实例N取2。该种材料模型选项、体积和偏量项高度耦合。因此,这个模型适合模拟高度可压缩的弹性体。
初始剪切模量

初始体积模量

当N=1和a1=2时,Ogden potential等效于Neo-Hookean potential。当N=2,a1=2和a1= -2时,Ogden potential可以转化为2参数Mooney-Rivlin模型。
对于两参数模型式(4-1)中的参数值如下:μ1=2.8,a1=7.9,μ1=-186,a2=-1.85,d1=1x10-5和d2=0。超弹密封垫的参考温度为23℃,热膨胀系数为8.5x10-5/℃
ICP经营许可证:鄂B2-20080078
(于2003年首获许可证:鄂B2-20030029)
鄂公网安备:420100003343号
© 2002-2025 武汉制信科技有限公司 版权所有
投诉举报电话:027-87592219