插值就是构造一个在有限点能满足规定条件的连续函数。在有限元分析中,这些点是一个单元的节点,规定条件是一个场量的节点值(也可能是它的导数)。节点值很少是精确的,即使它们是足够精确的,插值法在其他位置给出的通常也会是近似值。在有限元分析中,插值函数几乎总是一个能自动提供单值连续场的多项式。
对于一维问题,根据广义自由度a
i、一个含有因变量φ和自变量x的插值多项式可以写成下列形式:

式中:

线性插值时n=1,二次插值时n=2,依次类推。a
i可以根据在已知的x值处φ的节点值来表示。节点值{φ
ε}和a
i之间的关系可以用符号表示为:

式中,[A]的每一行都是[X]在相应的节点位置的计算值。
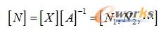
由式(2-1)和式(2-2),可得:

式中:

矩阵[N]中的每一个Ni被称为单元形函数。在有限元计算中,形函数矩阵把单元节点值同单元场函数联系起来。根据插值函数的阶数,可以把ANSYS中的结构单元分为低阶单元(单元采用一次插值)和高阶单元(单元采用二次或更高阶次插值)。对于二维和三维单元,将需要两个或3个空间自变量,但计算的原理和一维单元是一样的。