您现在的位置:e-works > 智造书屋 > 书籍列表 > 机械工程设计分析和MATLAB应用(第3版) > 向量的范数和矩阵行列式的值

第二章 矩阵和数组及其运算

第七节 向量的范数和矩阵行列式的值

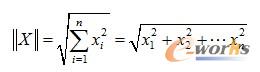
1.向量的范数
一个 维向量 的范数(即向量的模)表示为1

使用MATLAB中的函数norm(X)可以计算 维向量 的模。例如
>> X=[12 23 41 96 82 34 87];
norm(X)
ans =
  164.3746
2.矩阵行列式的值
如果某个矩阵是一个方阵(行数与列数相同),可以使用函数det()来计算矩阵行列式的值。例如
>> H=[2,1,2;1,2,1;3,2,1];
det(H)
ans =
    ?6