从二维到三维的转变
沈阳变压器研究所(STI)成立于1960年,是具有很强科研开发能力的现代化高新技术企业。STI承担、组织并完成了几十项国家重大科技攻关和科研项目,取得了丰硕的科研成果,共荣获国家级及省、部级科技进步奖34项,软件技术在变压器行业500余家企业得到广泛应用。STI还建立了世界第一流的国内规模最大的强电流检验室和国内第一流的变压器试验基地,与荷兰KEMA试验室和意大利CESI试验室等国际知名的电工试验室均有密切的工作联系,可以满足500kV及以下变压器类产品的试验要求,为提高中国变压器产品抗短路能力提供了足够的试验条件。
我所在部门的主要工作是:面向变压器行业,致力于变压器产品相关软件的开发。主要包括各类新产品结构优化设计、电磁计算优化设计和变压器工程分析计算;推进行业计算机三维可视化设计技术的应用,提高行业数字化技术在生产、制造、试验、管理以及经营等方面的应用水平。
虽然STI得到了很多荣誉,也拥有了很多客户。但是随着技术的发展和需求的提升,在实际的生产工作中,还存在一些急需解决的技术问题,包括:
(1)如何与客户进行更好、更有效的沟通;
(2)变压器设计中最核心的铁芯和线圈的计算问题;
(3)现有的布线方式需要进行长时间的手工计算;
(4)无法保证零部件设计数据的一致性;
(5)设计中,修改关联文件带来的问题。
上述是存在于实际工作过程中的突出问题,由于它们的存在,轻则会影响变压器的设计周期、设计质量,重则影响产品的市场前景和客户满意度。
基于产品的独特性,变压器产品的线圈在制作时绝大多数是靠手工操作来完成,因此目前还离不开二维工程图,对于二维参数化图,应用AutoCAD编程比较方便。但大型变压器的引线布置比较复杂,由于这些原因,STI开始酝酿设计平台从二维软件向三维软件的升级,并着手进行软件的选型工作。
在选型初期,我们了解并试用了很多的三维软件,包括目前应用范围很广的AIP、Pro/ENGINEER、SolidWorks以及SolidEdge等。通过对软件的操作性、设计性、应力分析功能以及与其他软件的兼容性等方面的考察,公司最终选择了Inventor软件。与其他待选软件相比,Inventor软件最适合我所的现有情况,由于与AUTOCAD接口方便、原有的DWG文件利用率高、价格合理及便于行业推广等因素,相信可以帮我们解决目前在实际中遇到的棘手问题。
在试用阶段,Inventor软件表现出了良好的性能,明显提高了设计效率。以设计一台电压等级为110千伏、容量为63000千伏安的三绕组有载变压器产品为例,以往靠人工设计,需要5人10天左右才能完成;而采用该系统设计,仅需2人6天即可完成,设计效率提高了4~5倍。试用后,我们共采购了30套Inventor软件,主要用于产品开发部和软件开发部,用来完成产品设计和变压器三维设计系统平台的开发工作。
Inventor三维设计
在变压器结构设计中,涉及到电、磁、热、力、场等诸多问题,仅以变压器引线设计为例,说明Inventor软件在产品设计中的作用。
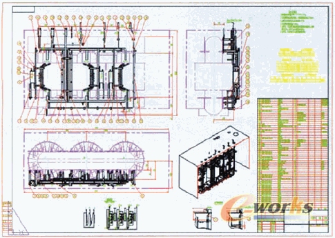
变压器引线设计具有相关因素多、结构变化大及图面表达复杂等特点。型号为SFZ11-31500/110的变压器中低压引线二维工程图,如图1所示。如果单就该种结构而应用二维软件设计,不考虑结构计算所用时间,仅绘图工作量就很大。而一旦结构发生了变化,导致引线走线发生变化,相应的木件夹持结构也将随之改变,所以整张图纸就要重新设计,会耗费大量的时间。

图1 变压器引线工程图