第二章 轻量化材料

第三节 材料选择

提要
    从对机械制造类产品的市场需求出发,定义了产品的功能目标与适用于产品寿命周期的边界条件。在产品开发的规划阶段,引出了与要求、构造和材料相适应的目标函数。借助“Ashby图”,可以从众多的材料选择项中预选出与性能要求相符合的材料。在规划设计阶段,需要对相应材料效率的要求加以规范化,因为这些要求与用于轻量化的材料质量有关。本节中,采用形状因子对改善使用性能的成形方法进行量化,性能指标的成本则通过价格指数加以关联。借助自行车车架的例子,说明了按照基本要求和边界条件分步选择材料的方法。借助用于内燃机的铸造合金适合度的评估示例,来说明用于重量组合的要求和边界条件,并进行相互比较。为了对材料方案进行评估,还将得出的合金性能范围与在材料组中的加工消耗进行比较。作为示例,还对可能用于一款面向市场的、大批量生产的高性能发动机的材料进行了比较和选择。
2.3.1引言
    结构材料必须首先能够承受机械载荷,其次要满足其他的功能,如:导热或者热绝缘。对材料的力学性能要求还有:刚度、动态强度和静态强度、减振、断裂韧度、抗磨损能力和抗蠕变能力。材料可以如下分类:陶瓷、非晶形材料(玻璃)、金属、聚合物与复合材料(见2.1节)[1,2]。轻量化所需要的材料要与结构相匹配,特别是要能够实现轻量化的目标。图2-3-1展示了由不同材料制成的两个自行车车架:一个车架是1896年用竹管组装的[3],一个是100年后用碳纤维增强塑料加工而成的(CFK)[4]。如今,大部分的自行车的梯形车架是用钢或者铝合金加工而成的。为什么选择这些材料来制造车架?不同的材料之间有什么区别?如何选择合适的材料?本章节就是要回答这些问题。

自行车作为轻量化示例

图2-3-1自行车作为轻量化示例

a) 竹车架1896[3]b)碳纤维增强塑料车架2007[4]

    轻量化意味着将一个用于特定应用的构件体系的重量最小化。一个运动构件越轻,构件用于运动改变所需要的能量就越少。对于所有的产品来说,都要用市场可接受的成本来进行生产。每种材料可接受的价格在很大程度上取决于其应用,如图2-3-2所示。一般来说,用于建筑业的材料的价格必须低于用于汽车制造和医疗技术的材料的价格。价格与市场容量成反比例关系:使用量越大,价格就越低。在航天工业中省下1kg的重量,就可以节省大约5000欧元的费用。不过,这种按照应用领域进行的一般性考察并不适用于某些特殊的案例:用于在(西班牙)比尔堡古根海姆博物馆的挡板是采用昂贵的钛合金制造的,或者宝马豪华轿车的发动机是采用镁合金制造的。虽然这些特殊的案例产品所占有的市场容量非常小,但是仅仅采用技术功能来评估这些产品是不够的,因为建筑同时也是艺术品,而汽车则是身份和社会地位的象征。

材料的平均价值(价格/质量)

图2-3-2材料的平均价值(价格/质量)与应用有关,反过来与市场容量成比例关系[17]

2.3.2在产品开发要求的框架内选择材料
    问题:“对于一个特定的应用来说,何种材料是最佳的?”回答这一问题的前提是:对构件的使用条件进行了分析,并在需求框架(任务书)内整理出了任务要求[5]。只有在需求框架与构件参数的功能框架完全明确后,才有可能对设计进行优化。一般来说,通常需要根据评估作出妥协。材料选择[6]始于市场对新产品的需求或者对已有产品在功能以及合理的加工方法方面的需求(表2-3-1)。

表1

表1

    在初始阶段,首先要生成能够满足构件要求的规划。材料供应商以及新材料开发研究人员可以提供范围广泛的材料,这些材料的力学、摩擦、物理、化学以及生态性能与产品所要求的使用性能相对应。下一步是用构件的构造参数来确定构件的成形方法,从而限定材料的范围。这样,一个设计的抉择就和一个材料的选择联系起来了,并可以用来评估对产品和材料要求的满足程度。虚拟产品开发和使用仿真可以验证材料对所提出的要求的满足程度,不过可能要按照实现目标的能力对预期设计进行修正。这一问题解决周期可以多次循环进行。通过这种方法,可以定义材料规格与制造允差,确定加工工艺链。最后,则可以确定用于产品加工的准确生产计划,生产出的产品可以满足现有的应用需求或者新的应用需求。对于材料供应商和后续加工者的质量要求也是这样定义的,这些质量要求也包括了产品的功能和供货条件等要求。在选择材料时,材料研发人员、工程师与销售人员一起工作、相互配合是最重要的,它可以带来满足市场的创新——新的产品、材料替代或者制造方法的改变。
2.3.3材料效率
    在考虑到不同要求的情况下,如何对现有的材料进行评估?首先,必须将构件功能与材料性能相关联,以便于对特征值进行比较。要对不同的材料进行比较以及对材料进行预选,材料数据库以及供应商的数据表是必不可少的。Ashby和他的团队[7,8]开发出了一个方法,用来对材料的性能进行图形比较。
    图2-2-3显示了不同材料种类的屈服强度与密度关系的双对数图。材料性能可近似为一个椭圆,垂直主轴作为强度离散区域。相对来说,密度的变化很小。可以将材料种类归纳到域,例如,钛合金的椭圆位于屈服强度100~1000MPa的区间,密度区间为4.4~4.6g/cm3,在图中具体的位置则取决于合金成分和热处理工艺。
 

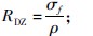
借助材料效率线RDZ、RB、RP得出的不同材料的屈服极限与材料密度的关系

图2-3-3借助材料效率线RDZ、RB、RP得出的不同材料的屈服极限与材料密度的关系[18]

    如何利用Ashby图呢?如果要寻找确定了最小强度的材料,则可以将这个最小强度作为界线绘到图表中,屈服强度位于界线之上的材料都可供选择使用。例如,在水平线100MPa之上的材料有金属、高技术陶瓷与复合材料。该界线对应于如下归纳的要求:“材料在100MPa载荷的作用下,既不会产生塑性变形,也不会发生断裂”。在图2-3-3中,越是位于左边的材料,就越轻:当强度大于100MPa时,碳纤维增强塑料是最轻的材料。泡沫聚合物、木与皮革更轻,但是强度达不到要求。不过,只满足轴向的要求往往并不能保证材料能够承受相应的载荷。随之而来的问题是:材料会在多大程度上满足一个特定的应用要求?
    第二个例子见图234。该图显示了材料弹性模量与材料密度区域的双对数图,图中的材料有泡沫塑料、木、合成橡胶、聚合物、复合材料、合金、多孔陶瓷和工程陶瓷。表中的辅助线对应于不同的单一材料在低频率下机械波的传播速度(v)。
声波速度v取决于材料的弹性模量(E)和密度(ρ):

公式

    就是说:材料的弹性模量越大以及密度越小,波在该材料中传播的速度就越快。在双对数图表中,速度v可以改写为:

公式

    方程式(2.3.2)对应于一个直线方程:γ=ax+b,其中,γ为logE,x为logρ,斜率a=1(在每个轴上一个十进位数)。在ρ=1下的纵坐标值对应于密度为1mg/m3的材料,其弹性模量为E=v2。该方程描述了一个直线族,其对于各种声波传播速度v以及比弹性模量E/ρ平方根的斜度为1。v越高,比弹性模量越大,则直线就越向上移动。在根据方程式(2.3.2)得出的位于直线上方的所有材料都有相同的比弹性模量,例如:在纤维方向上的木材、一些复合材料、泡沫陶瓷和绝大多数的合金。

不同材料类别的弹性模量

图2-3-4不同材料类别的弹性模量密度对数示意图:木材、聚合物、合金、陶瓷与复合材料,带有不同声波扩散速度直线(=比弹性模量)

2.3.4方法学
    如何将材料选择过程系统化呢?Ashby等人[8]建议采取下列步骤:
    ●定义构件使用目标函数的最大值或最小值:能源、成本、质量、刚度等。
    ●针对这些目标函数(P)开发出一个方程[方程式(2.3.3)],方程与功能要求(F)、几何形状(G)和材料性能(W)相关:P=f(F,G,W):
P=f[(功能要求F),(几何参数G),(材料性能W)](2.3.3)
    ●识别目标函数的变量:要求、形状、性能。
    ●确定最低要求,如:价格界限、供货能力等(边界条件前沿)。
    ●在目标函数中使用变量。
    ●如果可能,将目标函数分为三个部分:
    P=f1(F)·f2(G)·f3(W)(2.3.4)
    以便于对每个部分进行优化。f1是由市场需求和使用者来确定的;f2是设计人员的主要任务;这两个函数的求解都取决于材料选择f3。这样可以将独立的解法叠加组合起来,用来在关联中找到“创新妥协”。
    ●要得出使用性能的表达式f3(W),需要定义与使用相关的材料效率的最大值:M=f(W)。考虑到M=f(W,G),不仅是高效利用材料使用性能的要求,也是在材料选择与成形方法之间变化关系的要求。
    ●借助数据库、图表加以量化。
    目标函数的定义是材料选择成功的关键。一般来说,针对要求设定的使用参数和边界条件是多维的,绝大多数情况下是相互矛盾的,所以要设置优先次序:价格与/或重量与/或体积,哪个重要?有多重要?对设计材料的功能要求在于要满足特定的热—力学功能。举例来说,当演员站在舞台上时,舞台的变形必须是不可见的;热交换器必须能实现良好的导热;轿车的车身在发生事故的时候要能保护乘客。另外,舞台建筑看上去要有艺术感,热交换器要可回收,汽车要有运动感。除了这些很难量化的目标参数之外,还要注意到严格的边界条件:最大成本、最小特征值、标准尺寸、生态指标以及贸易保护法规(例如:在一级方程式赛车中禁止采用金属基复合材料)等。
2.3.5刚度与质量
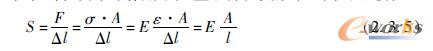
    对轻量化设计来说,最重要的性能组合是在低重量下的高刚度。刚度(S)取决于构件几何形状(G)上的弹性模量(E)以及机械载荷类型。材料的弹性模量是材料在拉载荷或者压载荷作用下抵抗弹性变形的能力(参见21节)。胡克定律σ=Eε适用于材料在单轴拉应力或者压应力(σ)作用下的弹性应变(ε=Δl/l)。
    刚度(S)与构件的弹性变形有关,取决于构件的几何形状与载荷方向:构件的横截面为A,长度为l,在外拉力(F)作用下产生了弹性变形(ΔL),因此有:

公式

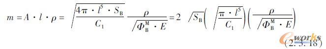
    刚度不仅与材料的弹性模量有关,也与构件的几何形状,即横截面与长度的比例有关。这个问题可以归纳如下:要找到对于一根刚度确定的(要求)、尽可能轻的杆的材料(目标函数)。这根杆在规定的力(F)作用下产生的变形不能超出规定值Δl。这样可以得出目标函数:针对给定刚度(S)的最小质量(m),刚度定义了可允许的弹性变形。图235显示了两种载荷类型:单轴拉伸以及圆柱杆的弯曲,圆柱杆的一端固定、初始长度(l)确定、直径(d)和横截面(A)可选择。

在力F作用下,横截面为A、长度l的圆柱杆的弹性变形

图2-3-5在力F作用下,横截面为A、长度l的圆柱杆的弹性变形Δl

a)单轴拉/压载荷b)一端固定情形下的弯曲

    1拉应力载荷与压应力载荷
    图2-3-5a中的杆在单轴拉载荷或者压载荷作用下应当只发生弹性变形。
    ●目标函数P可定义为:
    P=m=V·ρ=A·l·ρ→最小值(2.3.6)
式中,V为体积;ρ为密度;m为应当最小化的质量。刚度SZ可以表示为力(F)和延长(Δl)的函数,见方程式(2.3.5)。针对横截面的变化,对方程式(2.3.5)进行转换,可以得到方程式(2.3.7):

公式

    ●变量及其分类的识别:如果将方程式(2.3.7)中的A代入方程式(2.3.6),则可以将目标函数分解为三个部分作为因子:

公式

式中,f1为给出的刚度要求;f2为给出的构件几何形状,其长度为l,横截面变量为A;f3则是材料的使用参数,由弹性模量和密度给定。
    ●对于最小杆重量,材料效率即比弹性模量MDZ=E/ρ最大。就是说,在低密度下弹性模量高的材料最适合。图234中标识出了具有尽可能高的声波速度的材料。对于轴向弹性载荷来说,以重量为基准的位于比弹性模量相同的导线上的材料的效率是一样的。
    表2-3-2给出了在上面讨论的应力载荷作用下的木、钢、轻合金、复合材料与塑料的材料效率值。可以按照M值的大小对材料排序,以分辨出最合适的材料。对于拉压杆来说,钢、铝合金、镁合金和钛合金的材料效率基本相同,就是说,这些材料在相同刚度下的重量相同,当然横截面则不相同。单向、高模数碳纤维增强塑料(UDCFK)构成的杆最轻,而由泡沫材料做成的杆最重。
 

材料效率MDZ压/拉杆,MB一端固定情形下的弯曲,MP圆形支撑平板;与钢的价格比较

    2弯曲应力载荷
    对于一端固定的、承受弯曲载荷的杆(图235b),可根据方程式(238)将刚度SB表示为力(F)和偏转(Δl)的函数。桁梁端部的偏转可以表示为与横截面有关的弹性模量和面积惯性矩(I)的函数:

公式

    采用圆杆的面积惯性矩I0作为基准值:

公式

    用方程式(2.3.9)的面积惯性矩进行替代,则由方程式(2.3.10)可以得出受载横截面为:

公式

    如果将方程式(2.3.11)中的A代入方程式(2.3.6),则可以得到目标函数P的三个因子f1,f2和f3:

公式

    在这种情况下,当材料效率公式最大时,可以达到最小重量,这有别于在拉/压载荷作用下的材料效率。周围固定的圆形平板,在中心垂直承受弹性负载时:当材料效率公式最大的时候,在相同的刚度(相同挠曲)下重量最轻。表2-3-2对抗弯梁的材料效率进行了比较,采用单向碳纤维增强塑料做成的杆最轻,纤维方向上的木紧随其后。在金属中,轻金属比钢更适应弯曲应力载荷,玻璃纤维增强塑料(UD-GFK)也有类似的材料效率。
    双对数Ashby图[8]提供了一个简明的用于材料评估的方法。在该方法中,将材料效率表示为平行直线束。这些直线位置越高,所属材料的效率就越高。对于给定的刚度,在构件最小重量下,材料效率M应当为最大。通常将材料效率M表示为弹性模量与密度的函数:

公式

式中,对于拉和压情形,n=1;对于一端固定的杆弯曲情形,n=1/2;对于所有端都固定的平板压弯情形,n=1/3。根据方程式(2.3.5),可将方程式(2.2.13)改写为直线方程:

公式

方程式(2.3.14)描述了斜度为1/n的直线族,即:对拉压杆为1,对弯曲杆为2,对弯曲板为3。每条直线都与材料有关,在轻量化中,这些材料的效率相同,而材料效率则与刚度有关。纵坐标距离更高的直线对应于更大的M值与更大的比刚度。图2-3-6中引入了用于拉压载荷、杆弯曲和平板挠曲的轻量化辅助线。采用这种图表方法,可以快速简单地对材料效率进行比较。斜度为2的辅助线(与杆弯曲相对应)平行向上移动,直至遇到最后一个材料,在这里为碳纤维增强塑料。由此可以确定,紧密堆积、高模数单向碳纤维增强塑料(见22节)对轻量化抗弯梁来说是最佳材料,紧随其后的是纤维方向上的西印度轻木。从理论上说,铍和金刚石与西印度轻木的使用价值相同。对于平板的挠曲,可以假设一个各向同性的弹性模量,该弹性模量既不适用于木材也不适用于纤维增强复合材料。在表2-3-2中,对于采用这种材料构成的平板假设有0/90°的复合方式(值为a),此种复合方式会使刚度下降。

材料弹性模量与材料密度的关系

图2-3-6Ashby图:材料弹性模量与材料密度的关系,带有用于压/拉杆、

抗弯梁和平板压弯曲相同材料效率的定位线,M沿箭头方向上升[6]

    3强与轻
    对于强度高和重量轻、或者断裂韧度高和重量轻的要求,也可以借助Ashby图表对材料效率进行评估(图2-3-7)。

材料断裂韧度与材料密度的关系

图2-3-7Ashby图:材料断裂韧度与材料密度的关系,借助

用于各种载荷类型的相同材料效率C的辅助线确定[6]

    4在弹性区域的应力载荷—弹性极限
    对于静态稳定的结构形式来说,材料可承受的最大载荷直至弹性极限(见2.1节)。对铁素体钢和马氏体钢来说,材料可承受的最大载荷可直至屈服强度。对其他金属和聚合物来说,材料可承受的最大载荷则直至延伸极限。对于这些材料来说,在拉载荷和压载荷作用下,这些材料特征值的绝对值通常相同。陶瓷则不一样,承受压载荷作用的陶瓷强度至少是承受拉载荷作用的陶瓷强度的十倍以上(见21节)。对于合成橡胶,采用断裂强度作为设计的极限值。图2-3-3所示为以材料密度为基准的材料强度区域双对数图。与弹性模量相反,一个材料组的强度取决于材料的成分和加工过程。可由刚度导出以物体重量为基准的材料效率(在最大允许应力下不产生塑性变形)为[1、8]:
    对拉压杆,有公式
    对简单抗弯梁,有公式
    对圆形平板,有公式
    根据方程式(2.3.13),M给出了弹性变形的材料效率,而R则与在弹性变形区域允许的最大应力有关。在图2-3-3中绘出了用于材料效率R的辅助线。同样地,还是要在图表中的左上方寻找最佳的轻量化材料。
    5失效—韧性断裂与轻
    出于使用安全考虑,静态承载结构形式也根据材料的断裂韧度来设计,以避免产生解理断裂。材料的断裂韧度特征值KIC(见2.1节)表示了线弹性的、最大允许的应力强度值。在材料失效时,KIC还是能量吸收能力的尺度。与陶瓷、横向纹理的木材和塑料相比,金属与复合材料的断裂韧度相对较高。图2-3-8所示为根据线弹性断裂力学得出的材料断裂韧度值与材料密度值的双对数图表。
    与强度类似,可以针对各种载荷类型导出针对断裂韧度C的材料效率,即可得出以下关系式[1、8]:
    对拉压杆,有公式
    对简单抗弯梁,公式
    对圆形平板,有公式
    图2-3-8中绘出了与相同材料效率相对应的辅助线。在这里还要注意的是:如果要求材料的韧度越好与质量越轻,就越要到图表的左上方去寻找材料。区域KIC>10MPa m1/2也意味着增塑,因此,这一区域只用来定向。在图中,对于众多载荷类型来说,纤维复合材料都是处于尖峰域,而金属的比断裂韧度比陶瓷的比断裂韧度要好。

材料弹性模量和密度的双对数示意图

图2-3-8材料弹性模量和密度的双对数示意图[6],.采用轻量化抗弯梁及其向左上方向位移的相同材料效率辅助线,考虑到了变形因子。示例中,根据方程式(2.3.21),借助E*和ρ*提高到了10,以提高ΦMB=1的材料的效率[6]

    6轻与价廉
    产品的价格是一个重要的市场标准。在选择材料时必须要考虑到一点,即能够以合适的成本生产出轻量化的构件。基于这一考虑,可以在材料价格/材料重量的基础上引入一个价格因子。这个价格因子可以给出材料以重量为基准的价格与结构钢每千克价格的比例关系(表2-3-2)。如果采用材料的价格因子除以材料效率,则材料效率可以与材料的价格相关,就是说,通过这种方法可以得到一个相对尺度,看出如果将一个材料的使用参数与钢的相同参数相比,其价格会比钢材贵出多少。举例来说,这里要寻找用于一个刚度确定的抗弯梁的材料,要求梁的价格要便宜,重量要尽可能轻。
    表2-3-2中根据材料效率对材料序列进行了比较,条件是抗弯梁刚度确定、一端固定,比较方式为不采用材料价格基准进行比较与采用材料价格基准进行比较,括号表达式内为材料价格基准。价格因子明显地改变了轻量化抗弯梁材料的序列。现在,木材为第一选择,之后是钢。如果不考虑价格,钢是最后的选择。由于碳纤维增强塑料的价格高,反而落到了最后的位置。
    在这个例子中,轻和价廉的要求占有同等地位。一般来说,必须对各种要求进行优先权评估,并且对于使用参数要考虑到重量因素。
2.3.6几何形状
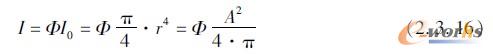
    迄今为止,选择的都是几何形状简单的试样,如实心圆杆或圆形平板。实际上,还可以借助构件的几何形状设计来满足轻量化要求。对于单轴拉载荷或者压载荷来说,载荷均匀分布在构件的横截面上,与构件的形状无关。对于弯曲或者扭转来说,就不再是这样了。形状因子(Φ)是一个无量纲的数,表征了与尺寸无关的、在一定载荷作用下的、抵抗变形的横截面形状阻力。刚度的形状因子ΦM与强度的形状因子ΦR可用来考察一端固定梁的弯曲载荷。由抗弯刚度的形状因子ΦMB可得出一个横截面的面积惯性矩对于圆杆的面积惯性矩的关系:

公式

式中,I为一个几何形状的面积惯性矩;I0为圆形横截面的面积惯性矩;SB和S0B分别为相应的抗弯刚度。
    表2-3-3给出了简单桁梁横截面的抗弯刚度形状因子和抗弯强度形状因子。壁厚越薄以及直径越大(例如:管的直径),形状因子越高。

用于抗弯刚度和抗弯强度的形状因子,与梁横截面有关

    形状因子是如何影响目标函数与材料效率的呢?在抗弯梁的例子中,可以将方程式(2.3.15)代入方程式(2.3.9)中。

公式

    与方程式(2.3.11)类似,承载横截面可表示为:

公式

    对于质量最小化的目标函数P,可在材料效率中引入与横截面相关的因子公式

公式

    应当为最大值的材料效率f3(W)为:

公式

    就是说:形状因子越大,材料效率越高。但是,形状因子的选择不是无限制的,而是取决于可用于该材料加工的成形方法。表2-3-4列出了管形状因子的例子,管采用表中给出的材料加工。木材料的管很难加工,但是用于桁梁的形状因子则可以达到2.5(表2-3-3)。采用焊接板材可以方便地加工出薄壁管,特别是采用钢材可以达到很高的形状因子。薄壁管和纤维增强塑料管的承载能力受限于凸起失效(见1.2节)。表2-3-4展示了按照实心杆抗弯强度(形状因子1,如表2-3-2)得出的材料序列,并将其与每个形状因子可实现的材料效率进行了比较。这里,单向碳纤维增强塑料又成为刚度最好的材料选择,紧随其后的是钢,然后是木材以及轻金属铝和镁。如果采用价格因子,钢管就是价格最好的方案。

用于轻量化抗弯梁的材料效率

    如何在Ashby图表中考虑形状因子呢?图2-3-8所示为不同材料弹性模量与密度的双对数图表以及轻量化抗弯梁辅助线。方程式(2.3.18)可以改写为:
公式

2.3.7示例:自行车架的材料选择
    剑桥工程选择(CES)[10]是为个人计算机开发的软件。采用这个软件,可以按照规定的原则用计算机来进行材料选择。这里以自行车架为例,逐步说明材料选择的方法。
    CES由三个数据库构成:①材料;②依据材料类别的材料性能;③准确的材料性能。为了提出设计一个梯形车架的建议,可将最重要的目标函数归纳如下:在低重量下的高抗弯刚度、高强度和足够的韧度。这样,可以在考虑到形状因子RB和C的情形下对材料效率MB进行比较。为了实现较大的市场份额,又加入了针对价格低廉方案的框架条件。
    ●要求A:在高抗弯刚度下的最小重量。
    为此,首先根据图2-3-9,采用针对材料类别的弹性模量—密度图表。根据方程式(2310),材料效率公式

材料类别的弹性模量与密度的关系

图239Ashby图:材料类别的弹性模量与密度的关系,借助轻量化抗弯梁的材料效率辅助线[17]●要求B:利用成形方法提高抗弯刚度。

    寻找面积惯性矩尽可能高的材料来加工长构件,采用这些构件将车架组装起来。在目标函数中引入几何形状因子,可借助根据方程式(2.3.15)和表2-3-2得到的形状因子ΦMB,由方程式(2.3.20)得出几何形状组合的材料效率。
    ●要求C:价格低廉。
    自行车应当可以每天使用,可供应的市场范围很广。这个边界条件可以与工艺材料效率结合在一起,并除以价格因子(见表2-3-2)。这样一来,在最小重量下,对于长构件可加工横截面抗弯刚度的要求就可以采用成本来进行加权评估了。图2-3-10显示了借助辅助线在方程式(2.3.18)中除以以质量为基准的价格因子后得到的结果。通过域“纤维方向木”在图中绘入基准线。在图2-3-10中,只画出了材料效率抗弯刚度/价格高于木材的材料。

承受弯曲应力载荷的材料的弹性模量/形状因子与(密度价格/质量)/形状因子的关系

图2-3-10承受弯曲应力载荷的材料的弹性模量/形状因子与(密度价格/质量)/形状因子的关系。图中采用木的材料效率作为辅助线

a)总览图图2-3-10承受弯曲应力载荷的材料的弹性模量/形状因子与(密度价格/质量)/形状因子的关系。图中采用木的材料效率作为辅助线(续)

b)具有比木材更高的以价格为基准的材料[18]

    ●要求D:强与轻。
    根据章节2.3.5.1,可引入拉压应力载荷和弯曲应力载荷的材料效率作为选择标准(图2-3-11a,M=3/2)。按照相同刚度下价格更低廉的标准选择出的材料结果可见图2311b。按照这一要求,材料选择中排除了合成橡胶和陶瓷。

2-3-11

图2-3-11

a)在相同抗弯刚度下,选择出的价格更便宜的材料(图2310b)的屈服强度及其密度,借助针对压/拉/弯曲应力载荷的材料效率辅助线b)材料的弹性模量/形状因子对比密度价格/形状因子,材料是指通过木材辅助线在图a)中还存在的材料[18]
2-3-12
图2-3-12满足A~D要求的材料的断裂韧度与密度,借助针对压/拉与弯曲应力载荷的材料效率的辅助线[18]
选择材料弹性模量/形状因子与密度/形状因子的关系
图2-3-13选择材料弹性模量/形状因子与密度/形状因子的关系,借助抗弯刚度辅助线[18]

    ●要求E:失效的安全性极限。
    所采用材料的断裂韧度应当限制在KIC>20MPa m1/2。这样一来,不仅排除了陶瓷,也排除了木材、聚合物和铸造合金。断裂韧度的材料效率应当满足轻量化桁梁可承受的拉、压、弯曲与扭转应力载荷的要求。对于超出了规定断裂韧度极限值的材料,根据章节2.3.5.2的介绍,可以借助材料效率CDZ和CB进行评估。按照要求A~D选择的材料在图2-3-12中以材料效率“断裂韧度与轻”来进行评估。在具有足够断裂韧度的材料中,只有钢、高强度钛变形合金和高强度铝变形合金以及价格昂贵的碳纤维增强塑料具有高的材料效率。
    ●要求F:材料必须可回收。
    CES[11]还包括了针对材料回收能力选择的标准。按照这个标准,复合材料无法满足要求。采用迄今为止选择出的材料组,通过使用性能数据库,可以得出准确的合金,在图2.3.13中显示出了这些合金以价格为基准的比刚度。由此可以得出满足规定要求的材料顺序:
低合金钢;
铝合金:变形铝合金3xxx与5xxx;
高强度铝合金:变形合金 2xxx,7xxx;
不锈钢;
锌合金:锌铝合金,锌铜合金;
玻璃纤维增强塑料:环氧树脂基与苯酚树脂基。
    ●根据上面得到的结果,对比在引言中提到的材料方案(图2-3-1):竹车架不能满足韧度要求,而碳纤维增强塑料车架由于成本的原因也不予考虑。
2.3.8示例:对四冲程发动机的多种要求
    1内燃机的目标参数

    表2-3-5给出了内燃机最重要的目标及其加工方法。这些参数按照其意义对整个汽车及其市场能力进行加权,其中5表示最重要。目标与发动机材料性能的内在联系通过量化的概念和特征值符号给出,对此在表2-3-6中给予了解释。

内燃机的目标参数

    尺寸较小的发动机可以减小汽车尺寸以及降低整车重量,但对于强调功率的发动机来说,只能通过增加气缸工作容积来提升发动机的功率。这样一来,不论是对于制造方法还是对于构件强度,减小缸体壁厚都是一个挑战。因此,目标设定不仅涉及构件,也涉及整车。对于不同的要求来说,可以引进哪些材料特征值作为目标值呢?表2-3-6[9]显示了材料特征值的多样性。在可能的情况下,可根据参考文献[1]将其表示为组合特征值的材料效率,并通过引入示例的相应载荷来加以描述。相应的表达式与表2-3-5中列出的目标有关。按照要求,将表2-3-6划分为气缸体和气缸区域(这里为气缸套)。在表2-3-6中传递到材料上的要求对发动机使用性能有不同程度的影响,对此要求对材料特征值进行加权。最重要的参数是缸体材料的比交变疲劳强度、镜面磨损以及缸体与缸套复合物的质量。
    2材料比较
    根据已有的技术知识,不需要对所有可供使用的材料进行材料效率评估。由于曲轴箱形状复杂,只能采用铸造方法加工。由于要承受热应力载荷,所以不能采用塑料,而根据对曲轴箱材料断裂韧度的要求,又可以排除陶瓷。基于成本的原因,不用考虑镍合金和铜合金。这样一来,值得考虑的只有合金组灰铸铁、铝合金和镁合金。可以根据准确的特征值和数据对特殊示例[10]进行比较:GG25和GGV500、AlSi8(9)Cu3、AlSi7Cu4Mg和AZ91(见2.1节)。根据对气缸体和气缸镜面要求(表236)进行划分的方法,还可以考虑采用材料复合的方式,即将能够达到抗磨损和油膜稳定性要求的气缸套铸入不必达到这一要求的铝合金或者镁合金气缸体中。已知的是,灰铸铁和铝基复合材料(MMC)可以满足气缸镜面的要求,因此,在灰铸铁缸体和过共晶铝硅合金中不需要单独铸入缸套。

气缸体和气缸镜面典型载荷的材料特征值


    下面介绍一个材料比较的方法,在该方法中考虑到了要求的整体性。按照表2-3-6的形式,在表2-3-7中列出了所选择的合金最重要的材料效率,表中的离散范围位于最小特征值和最大特征值之间。基于预期的表达方式(表2-3-6),将每个最佳值加粗标注出来。这个值得到最高分5,其他的值可相对这个值来进行计算(栏内左部分)。刻度值(在0到5之间)乘以加权,加到每个材料上。这样得出的加权总和虽然没有绝对的说服力,但是用来对材料进行比较是足够了。
    ●灰铸铁最大的优点在于良好的阻尼性、不需要使用缸套与高强度,缺点是重量大、比刚度小[11]。在按照表2-3-7进行的技术评估中,灰铸铁以72~99分列在最后一档。

2-3-7

    ●亚共晶铝硅合金重量低、导热性好、比刚度高。与灰铸铁相比,缺点是强度低、耐磨性差、减振差。在按照表2-3-7进行的技术评估中,亚共晶铝硅合金以104~131分列第二档。
    ●过共晶铝硅合金除了具有亚共晶铝硅合金的优点外,还具有高抗磨损强度,可以无缸套使用[12,13]。在按照表2-3-7进行的技术评估中,过共晶铝硅合金以128 ~152分列第一档。
    ●镁合金具有最小的密度与高比刚度,导热性高于灰铸铁(但比铝硅合金的低),但是疲劳强度低、易腐蚀、抗蠕变性差、热膨胀系数高。在按照表2-3-7进行的评估中,镁合金的分数与亚共晶铝硅合金类似,但是离散度高(97~137)。
    亚共晶铝硅合金与镁合金[14]需要采取与气缸套材料复合的方式,这样可以提高技术性能指标。
    3制造方法的经济性
    为了生产四冲程发动机,对下列铸造方法进行了考察(见3.1节):砂型铸造、金属型铸造、压铸、低压铸造、挤压铸造(可与实时控制压铸方法等效)。对每种方法参数的详细考察可参见参考文献[13]~[17]。对于大的构件,灰铸铁只能采用砂型铸造方法,铝合金可以用上面提到的所有铸造方法加工,对于镁合金则只能采用压铸的方法。为了进行目标比较,引入了大量的经济性因素[15]。在图2-3-14中,采用加权表示了用于四冲程发动机批量生产的特征参数[13,14]。图中的长带对应于重量带宽。为了得到有说服力的相对特征数,必须按照材料的特征值那样对这些相对值进行刻度化、加权与相加处理。最重要的点是加工周期以及构件的复杂程度。

用于曲轴箱加工的经济因子的加权平均

图2-3-14用于曲轴箱加工的经济因子的加权平均

    考虑到构件的复杂程度,铸造方法的差别很大(见3.1节)。传统的砂型铸造方法没有竞争力,可以采用的方法有用于灰铸铁铸造与铝合金铸造的组芯造型方法。在组芯造型方法中,铸模由多个单一芯构成,采用插塞连接、粘接连接与/或螺栓连接等方式以自动化方式组装在一起。对于铝合金和镁合金,可以采用低压铸造、压铸和挤压铸造的方法进行加工。
    如果采用由灰铸铁或者MMC构成的气缸套,则还需要一个额外的加工程序。气缸套必须事先加工完毕,然后铸入亚共晶铝硅合金中,或者挤压进铸造件中。按照定位方法,可采用挤压铸造方法,在成形加工时将铝基体材料挤入圆柱形的、多孔的硅氧化物或者铝氧化物预制件中[15]。
    4功能范围图示表
    为了能够清楚地表达所得到的数据,根据图2-3-15选择了功能范围图示方法。在这个方法中,横坐标为批量生产能力,纵坐标为技术功率。越往右,则生产的经济性越好。越向上,则技术性能越好。可以采用图2-3-14中区域C和D中的产品来替代区域A中的产品,也可以采用区域D中的产品来替代B中的产品。区域C中的产品是否能替代区域B中的产品则要看技术改善与成本提高的性价比。

与批量生产有关的工艺性能替代功能图表

图2-3-15与批量生产有关的工艺性能替代功能图表
四冲程发动机大批量生产的材料可替代方案总功能图表

 

图2-3-16四冲程发动机大批量生产的材料可替代方案总功能图表:对角长带作为GG25方案的替代极限(在其下面的产品没有竞争力)

    对于本节中研究的四冲程发动机,可以给出材料/方法组合的区域。该区域是由刻度化的材料总和以及经济性总和的最小值和最大值构成的。图2-3-16所示为按照图2-3-15在材料功能图表中绘制的大批量生产的发动机结果域。这里选择了由最经济的GG25材料用组芯造型方法加工的气缸曲轴箱作为比较基准。图中灰色的长带表示了可能的替代边界。所有位于带下方的气缸曲轴箱与灰铸铁发动机缸体相比都是没有竞争力的。
    这个功能图表很好地反映了气缸曲轴箱产品的现状。在大批量生产中,首先采用GG25,紧随其后的是带有灰铸铁气缸套铸入件的AlSi8Cu3箱体。铝合金曲轴箱的技术性能明显优于灰铸铁曲轴箱。这两种材料的曲轴箱都是采用组芯造型方法生产的。
    采用组芯造型方法铸造的蠕虫状石墨灰铸铁(GGV 500)[16]可以很好地替代传统片状石墨灰铸铁。蠕虫状石墨灰铸铁具有更好的材料性能,可以实现轻量化设计,但是蠕虫状石墨灰铸铁的石墨组织比较难控制,这一点会导致生产成本增加。沿着替代直线更左面的是带有灰铸铁或者MMC气缸套的AlSi9Cu3压铸壳体。与GG25相比,是否选择AlSi9Cu3压铸发动机壳体要看其较低的经济性和更高的技术性能哪个更重要。按照这个模型,镁合金壳体大批量生图2-3-17用于四冲程发动机的技术指标高、
    成本压力小的材料功能图表(豪华车型、跑车)产的经济性无法与灰铸铁相比,但是具有更好的技术性能。原则上,MMC气缸套的设计使用比灰铸铁的设计使用难度要大。因此,对于所有的方法,这个材料区域都更向左。由于具有更高的抗磨损强度和更低的重量,这个区域具有更好的技术性能。位于替代界限下方的、无竞争力的方法有重力铸造和低压铸造方法。在组芯造型方法的大批量生产中,采用过共晶铝硅合金的缸体,由于凝固时间长(加工周期)、设备与人工费用高,其竞争力不如采用灰铸铁和亚共晶铝硅合金材料的缸体。
    通过采用功能图表进行比较,可以看出,材料功能图表所表达出的效果更好一些。但是,在这个图表中,对技术性能的评估要高于对生产成本的评估(图2-3-17,例如:用于豪华轿车或者跑车的大容量发动机)。与图2-3-16相比,对过共晶均质AlSi17Cu4Mg曲轴箱体的低压铸造方案的评估结果与带气缸套的亚共晶铝硅合金材料方案相同。在这个产品领域中,还有一个镁/铝复合曲轴箱体方案[10]。采用这种方案的发动机性能与过共晶铝硅合金缸体相同,但是由于重量减轻,从而降低了汽车的重量,使得汽车的行驶性能得到了提高[17]。
2.3.9小结与展望
    对一个构件及其使用的目标功能和边界条件的表达越精确,就越可以更好地定义相关材料的特征值。由于需要满足的要求多种多样,因此有必要对材料进行评估,以便于确定材料性能的优先权,并对其进行加权评估。在简单的情形下,将各种使用参数紧密结合起来进行分析,比采用材料效率的方法更有效。通常采用指数幂来表达材料密度的相关性,因此,在对材料进行轻量化比较时,采用双对数表的表达方式非常有帮助。除此之外,也可采用针对各种材料效率和边界条件的材料逐步选择方法。
    一个设计方案能否实现取决于制造方法,特别是加工材料的成形与连接方法。在搞清楚加工工艺后,必须进行经济性评估。一般来说,制造方法的成本要高于材料的成本。CES[18]考虑了加工方法,但也只是提供了一个辅助方向。在制造构件过程中获取数据是很困难的,也会导致不同的评估结果。因此,对新构件制造的预测还无法做到很精确,但是,学习曲线的方法还是有效的(见第7章)。采用材料功能范围图示方法,可以对工艺和经济生产花费进行比较。采用材料域的方法,至少可以对各种材料种类的潜力进行相对比较。对于每种应用情形与每个制造商来说,都要根据具体的应用情形和制造方法来选择合适的材料。为了实现成功的决策,除了采用上面介绍的方法之外,还要根据技术经验和基于对市场的预测进行判断。采用选择的材料数据对构件功能进行仿真以及对试样进行测试,可以对解决方案进行验证。另外,还有可能需要对目标函数加以修改,再重新进入问题解决循环周期。在确定了加工方法、准确的材料规格和加工允差后,还要检查目标函数是否满足市场成本的要求。除此之外,还要针对降低制造成本的要求,充分挖掘改进潜力以及对极其重要的学习曲线进行评估,只有这样,成功的创新才是可以期待的(见第7章)。