8.2.1 什么是粗能力计划
对主生产计划进行有效的管理是ERP系统中最富挑战性的工作之一。主生产计划员的目标就是生成一份可执行的主生产计划。这就意味着要有足够的能力来保证主生产计划的执行。
在战略层面,当生成了生产规划之后,要通过资源计划来检查它的可行性。生产规划是面对产品族的,资源计划以综合的表述方式检查了是否有足够的能力来保证生产规划的执行。在战术层面,也要检查主生产计划的可行性,这就是粗能力计划(rough cut capacity planning,RCCP)的作用。粗能力计划的处理过程和资源计划的处理过程很相似,但是要更详细。因为主生产计划是面对具体产品或最终项目的。
粗能力计划的处理过程要将产品或最终项目的主生产计划转换成关键工作中心的能力需求。粗能力计划要忽略某些基本信息,以便简化并加快处理过程。粗能力计划使用某些有代表性的工艺路线,面向关键工作中心,是一个近似的能力计划。通常,企业要根据与粗能力计划相关的主要资源的情况来批准主生产计划。
粗能力计划所用的代表工艺路线把主生产计划物料和生产它们所需的关键工作中心联系起来,按日期产生对关键工作中心的粗能力需求。以周为时区把这些粗能力需求汇总,形成粗能力计划报告。粗能力计划报告可以以表格或直方图的形式输出。输出的内容要包括关键工作中心的代码及描述、时区、在一个时区内总的能力需求以及总的能力可用量。
粗能力计划为评估主生产计划提供了一个粗略的方法。如果一份主生产计划所产生的能力需求是不现实的,或一项变化对资源或关键设备的能力产生重大超量需求,则都能从粗能力计划中清楚地反映出来。
为了有效地解决粗能力计划反映出的问题,需要提供一种方法来识别能力需求的来源。最简单的方法是提供一个报告或屏幕显示,表明在每个时区引起粗能力计划需求的具体的主生产计划订单。
如果粗能力计划的计算表明存在能力或资源的短缺,那么在批准主生产计划之前,必须解决这一问题,或者增加能力或资源,或者调整主生产计划。如果必须调整主生产计划以协调资源短缺,那么这种调整一定要反映在最后的主生产计划中。
8.2.2 能力清单
为了执行粗能力计划,必须首先构造能力清单(bill of labor,BOL)。能力清单和资源清单是同义词,它给出关于每个关键工作中心的负荷(load)和偏置时间(time off-set)的信息。负荷是指为生产一个单位的主生产计划物料所需的对某个关键工作中心的准备和加工时间,这个时间包括了对该主生产计划物料的所有经过此工作中心的子项物料的准备和加工所需的时间。一个工作中心的偏置时间则用来指明该工作中心的工作要在主生产计划物料完成之前的几个时区进行。
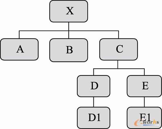
能力清单的数据来自于物料清单和工艺路线。假定现在要为产品X作粗能力计划。X的物料清单表明,X由零件A、零件B和子装配件C各1件构成,而子装配件C由零件D和零件E各1件构成,零件D和零件分别由毛坯D1和E1加工而成。工艺路线表明,零件D的加工要经过4个中作中心,零件E的加工要经过5个中作中心。图8.4是产品X的物料清单。表8.6和表8.7分别是零件D和零件E的工艺路线。

图8.4 产品X的物料清单
表8.6 零件D的工艺路线

表8.7 零件E的工艺路线

为了构造产品X的能力清单,首先来计算子装配件C的能力需求。假定零件D和零件E的提前期都是1个时区。计算子装配件C的能力需求就是一个累加零件D和零件E的工艺路线信息的过程。我们注意到,在工作中心40(研磨工序)准备时间为1小时,其中,加工零件D的准备时间为0.6小时,加工零件E的准备时间为0.4小时。加工时间是0.29小时。因为对零件D和零件E的研磨加工出现在同一时区,所以把两项负荷加在了一起,否则应当分开。对其他工作中心也进行类似的计算。对于工作中心14(淬火工序)的负荷不是以标准小时为单位,而是以零件的个数表示(零件D和零件E各1件)。这项负荷要求的是空间资源。子装配件C的能力需求如表8.8所示。
表8.8 子装配件C的能力需求

在计算出子装配件C的能力需求之后,就可以从中提取出对关键工作中心的能力需求。假定工作中心24是关键工作中心,且已知产品X的最终装配提前期是1个时区,子装配件C的提前期是2个时区,零件D和零件E的提前期都是1个时区。于是,工作中心24的偏置时间是4个时区。能力清单指出,对于每件产品X,在其完工之前4个时区,在关键工作中心24上将出现的负荷是准备时间2.4小时,加工时间0.16小时。
现在可以把构造能力清单的步骤概括如下:
(1) 将主生产计划物料的BOM展开到所有的制造层次(包括提前期)。
(2) 依据工艺路线确定所需的工作中心和每个工作中心为加工所有子项物料所需的标准工时。
(3) 按工作中心和偏置时间把子项物料所需工时进行分组累加(即把工作中心和偏置时间相同的工时相加)。
(4) 对所选定的关键工作中心提取其工时负荷和偏置时间,形成主生产计划物料的能力清单。
8.2.3 粗能力计划的计算
在构造了能力清单之后,就可以生成粗能力计划了。表8.9 表示的是产品A和产品B的能力清单。工作中心10和35都是关键工作中心。注意产品B的零件两次经过工作中心10,一次是产品B完工之前1个时区,另一次是产品B完工之前2个时区。现在,我们要确定第2时区在工作中心10上的负荷。考虑到两个产品在工作中心10上的偏置时间,我们必须考虑产品A在第4时区的主生产计划和产品B在第3时区以及第4时区的主生产计划量。
表8.9 产品A和产品B的能力清单

假定从产品A和产品B的主生产计划得知,产品A在第4时区的主生产计划量是50件,在第5时区的主生产计划量是60件;产品B在第3时区的主生产计划量是20件,在第4时区的主生产计划量是25件。于是,产品A在第4时区的50件将要求工作中心10在第2时区上的7小时的能力。类似地,产品B在第3时区的20件将要求工作中心10在第2时区上的2小时的能力,产品B在第4时区的25件将要求工作中心10在第2时区上的4小时的能力。把这些负荷累加在一起,得到第2时区在工作中心10上的负荷是13小时。以上计算过程如表8.10所示。
表8.10 第2时区工作中心10上的粗能力计划

类似地,可以求得第2时区在工作中心35上的负荷是16小时。
现在把粗能力计划的计算过程总结如下:
(1) 对各主生产计划物料构造能力清单。
(2) 根据各主生产计划物料的能力清单计算各主生产计划物料在各时区对各关键工作中心的负荷。
(3) 对各关键工作中心按时区汇总所有主生产计划物料产生的负荷,得到该工作中心的粗能力计划。
ICP经营许可证:鄂B2-20080078
(于2003年首获许可证:鄂B2-20030029)
鄂公网安备:420100003343号
© 2002-2025 武汉制信科技有限公司 版权所有
投诉举报电话:027-87592219