第二章 用于制造轻量化汽车结构件的先进钢材
第四节 高强度钢的加工与成形
用高强度钢成形和加工汽车零件的主要工艺,除了特殊工艺和由各汽车制造厂为适应这些钢的特殊需要而拟定的指导性工艺以外,与普通钢所使用的工艺相同。高强度钢成形可能遇到的典型问题(例如回弹问题)已经被人们熟知但并不能完全预见,并且工艺中仍然存在某些“技巧”和“反复试验”问题。尽管如此,人们已经学会了使用高强度钢加工零件的许多工艺,还有许多工艺仍在学习中。除了成形工艺以外,高强度钢的连接工艺也是挑战之一。由于在汽车工业中连接钢最常见的工艺是点焊,其他连接技术如粘接、激光焊和MIG(熔融极惰性气体保护焊)等也用于汽车制造。
2.4.1高强度钢成形
在由钢板成形制造汽车零件的所有工艺中,传统的冲压是最常采用的工艺。零件是否采用冲压工艺取决于零件的复杂程度、是否容易获得冲压所需要的设备和模具以及其体积是否适合冲压工艺。尽管冲压是最常见的成形工艺,其他工艺如滚轧成形、热成形(或如通常所称的热冲压)以及油液挤压成形都用在不同的时期。下面的讨论将为读者提供以下资料:各种工艺选择的理由、各种工艺的优缺点以及不同零件采用这些工艺的实例。
1冲压
冲压是几十年来在汽车工业中零件成形最优先使用的方法。工业的制造基础主要基于冲压和使冲压工艺成功所需要的技术。冲压工艺取得如此成功的主要原因有:冲压工艺能够制造出工业通常需要的形状复杂的零件,也适合于制造工业需要的体积较大的零件。
传统的冲压工艺需要一套模具,使零件成形并根据需要压出翻边便于零件之间的连接、修整、冲孔或开槽。因此冲压工艺通常至少需要3个模具:成形模具、翻边和修整模具以及增加所需要的孔的冲孔模具。根据零件的复杂程度,可能需要增加成形工序,例如在进行零件成形冲压之前先进行预成形或弯曲冲压工艺。这一工艺可以用于深冲零件,并且通常使用可成形性非常好的低碳钢。但这种技术通常不能用于高强度钢,特别是先进高强度钢,正如前面所介绍的那样,先进高强度钢的加工硬化非常快,预成形会降低钢的伸长率和塑性,造成第二次成形困难。因此实际上通常的做法是在第一次的冲压工艺中即将零件成形为最终形状或尽可能接近最终形状。
一套形式最简单的传统冲模线通常由几个组合在一起排成一排的压力机组成,钢坯料送入第一个冲模,零件被冲压,然后零件传送到位于第二台冲压机上的第二个冲模,完成零件的第二道冲压工序,直至通过所有模具的冲压,完成零件的冲压成形工艺。由于需要一定数量价格昂贵的模具,为了降低成本,此工艺必须用于大批量生产。在通常情况下,冲压生产线每分钟生产冲压件10~14个,相当于一个8小时班次的生产能力为6000件。
另一种常用的冲压工艺是使用一种连续模,连续模是一个单个模具,连续模冲压工艺将多个连续进行的冲压步骤结合在一起,随着钢坯逐渐被压下,在每一个行程之间完成相应的冲压步骤。这种工艺最适合冲压不是非常深但需要多个阶段才能达到希望的形状的冲压件。在连续模冲压工艺中,钢直接由板卷送入冲压机,因而省去了下料以及运送坯料的成本。另一个优点是可以将许多作业结合到一个工序完成,因而不需要在模具之间传送零件。这种冲压工艺每分钟冲压的零件数量也明显高于传统的冲模线,特别是小零件的冲压最适合这种工艺。尽管这种模具比较昂贵,但这种冲压工艺的总成本与传统的冲模线相比并不高。
2整体成形性能
为了成功地完成冲压,在冲模设计时必须了解金属如何流动以及钢对于产生应变的反应方面的知识。现在这项工作主要由计算机成形程序完成,该程序能够评价零件形状和钢的成形性能、进行冲模设计、计算冲模表面与钢坯之间的摩擦力以及评估金属在冲模中的流动性。这些程序能够预测哪个部位应变将最大,哪个部位金属过薄可能出现危险,因此应修改模具或者零件形状。模具中的金属流动性受许多因素影响,包括钢的强度、钢与模具表面摩擦系数的差别、钢的塑性、抵抗颈缩的能力、润滑、钢的应变率敏感性以及金属如何被阻止流动进入模具,这些仅仅是影响可成形性的部分因素。
要确定某一零件需要选择的钢种是否有足够的成形性能的最简单的方法是使用成形极限图。成形极限图按照发明者的姓名命名也称为KelerGoodwin图,它可以用来划分冲压件应变区域并预测零件距离破裂区域有多远(见图2-10)。
当评估冲压钢板的整体成形性能时成形极限图非常有用。钢板的应变可以通过在冲压前的钢板坯料上刻蚀出许多已知直径的圆确定,用一种具有许多一定直径的圆的薄膜在整个钢板表面上刻蚀上圆形图案(圆的直径通常为5mm),将具有圆形图案的钢板坯料放入成形模具,然后在与实际生产相同的条件下,即相同的坯料夹紧压力、相同的冲击速度、相同的润滑等,在成形模具中冲压。冲压后将钢板取出,技术人员就可以确定零件的某一部位如何变形并计算出产生的应变。这种方法冲压前、后钢板上的圆形图案如图2-11所示。
3局部成形性能
局部成型性能与整体成形性能不同,它通常不能由成形极限图进行预测,局部成形性能涉及的问题包括翻边的外侧破裂、挤压成的带法兰的孔的边缘破裂,在预期不可能破裂的低应变区域出现破裂。与传统的高强度钢如高强度低合金钢和碳锰钢不同,某些先进高强度钢,特别是抗拉强度达到和超过780MPa的双相钢,在低应变区表现出破裂的敏感性,特别是在成形的圆弧处。这些类型的破裂被称为剪切破裂,并且通常是大量评估的项目。其他先进高强度钢(如复相钢和TRIP钢),与双相钢相比有更强的抗应力裂纹性能(Walp,2006)。
4回弹
虽然所有的钢都具有一定的回弹性,但高强度钢的回弹现象最严重。在许多情况下高强度钢成形时回弹比破裂和颈缩是更严重的问题,因为回弹很难预测。一个翻边回弹的例子如图2-12所示。有许多补偿回弹的方法,一种方法是在设计模具时使其在冲压工艺中超过翻边要求的位置,当成形后翻边“回弹”到要求的位置。这在理论上是一种好方法,只是绝对回弹量往往受零件中可能存在的残余应力以及例如模具弯曲部位内侧半径等其他因素的影响,在实践中很容易造成回弹量不是不足,就是超过预期值,最终导致翻边没有达到设计位置。更糟糕的是当回弹引起整个零件扭曲变形时,可能很难确定变形的原因。所有这些问题的解决需要很长时间,这需要反复修整模具调整回弹,直至零件形状或翻边位置最终达到设计要求。
5辊轧成形
尽管几乎任何材料都可以辊轧成形,但它是一种非常适合于高强度钢(特别是像冷轧马氏体钢这样的高强度、低塑性钢)的工艺。辊轧成形是利用一系列的辊子逐渐将钢轧制成需要的形状。由于这是一个连续、板卷供料、直线成形的工艺,零件的形状需要在整个零件长度上保持不变,断面形状变化的零件不能采用这种工艺。但某些柱状辊轧成形工艺能够使零件弯曲并改变形状,有不少用这种工艺将强度非常高的钢辊轧成断面形状非常复杂的零件的例子。这些例子中的零件包括用双相钢DP1000或冷轧马氏体钢制造的保险杠,以及用冷轧马氏体钢制造的下边梁。这是两个要求除了在极大的负荷以外的所有情况下都必须阻止变形的典型零件。图2-13和图2-14示出了某些辊轧成形零件的典型结构。
压淬也称为模压淬火,通常是为选择的强度最高、重量最轻、形状比较复杂的零件提供的制造方法。在模压淬火工艺中,通常像碳、锰、硼合金钢这样可硬化性好的钢被加热到临界温度(通常为950℃左右),然后将其送到水冷模具并立即冲压和淬火到最后形状,零件的显微组织几乎是纯马氏体。这种工艺可以使零件的抗拉强度达到1400~1500MPa,并且能够制造形状复杂的零件。如果使用传统冲压工艺制造这些形状复杂的零件,只能使用强度非常低的钢。
压淬工艺从2000年起在汽车工业中的应用迅速增多,现在这种工艺几乎无一例外地用于像车门防侧撞杆、B立柱加强件等几个特定的零件的制造。这种技术主要用于安全性要求高的零件,在汽车受到侧撞或者发生翻滚事故时能够保护乘客的安全。通过压淬工艺可以为汽车工业提供在碳钢中强度最高的车身结构冲压件,某些典型零件如图2-15所示。
如上所述,用于这种工艺的钢必须有足够的强化性能使之能够得到高强度,例如,通过水冷模具得到的马氏体显微组织。为了满足高合金含量的需要,可能出现焊接裂纹,这一问题将在下面有关连接的内容中讨论。
2.4.2高强度钢的连接
大部分用于低碳钢的连接方法通常也能用于高强度钢,每一种方法都有其优点和缺点,因此汽车设计者必须懂得如何运用这些方法。高强度钢最常用的连接方法是点焊,这与其他用于车身结构的钢种是一样的。其他的连接方法如电弧焊、粘接、激光焊也可使用,尽管电弧焊的使用常常因加热区域大导致其强度比周围明显下降而受到限制。以下将对每一种连接方法进行简要讨论。
1点焊
汽车制造厂使用点焊连接汽车部件的主要原因是方便,高强度钢等级的改变对工业领域使用的连接方法的改变几乎没有影响。尽管点焊的基本技术几乎没有变化,但在焊接控制和工艺方面的改进,扩展了点焊在汽车工业中大量使用的高碳当量的不同等级钢中的应用范围。机器人焊接、自动反馈焊接、精密焊接控制器和焊接电极修磨仅仅是这种连接方法的一部分改进。除此以外,主动适应对材料改变的焊接周期、详细的试验以及对焊缝的评价也极大地扩大了能够按要求进行高质量焊接的钢的品种和等级。
焊接工程师评价点焊最重要的分析手段是准备和检测一个焊接区域金属的横断面,这种技术将显示有关焊接的重要信息,包括焊接裂纹或微裂纹、焊透深度和热影响区(HAZ)。结合其他的微量分析技术,研究人员还能确定焊点及其邻近区域的硬度,以及可能不利于焊点完整性的元素的分离。这些信息是非常宝贵的,如果不进行这种试验。焊接技术的发展就会受到制约而难以达到工作要求。
两块双相钢DP600之间的焊点横断面如图2-16所示,焊点横断面已经被制成试样,经抛光和侵蚀显示出焊点和热影响区的晶粒结构。另外,穿过焊点区的一排显微硬度测试点可以清楚地显示基体金属、热影响区和焊点金属的硬度。从这一焊点上可以观察到许多信息,首先可以观察到焊点熔接区两块钢板的一致性、焊透性很好。如果局部焊透或不均匀焊透就说明焊接条件可能存在问题。另外,横跨焊点区域的硬度一致,并且就像在显微照片中明显显示的那样,焊接电极处的变形量非常小。从热影响区的显微照片和显微硬度值可以很明显地看出,热影响区的硬度迅速降低,直至达到基体金属的硬度值。如图216所示的焊接可以认为质量很好,并且可以预测将具有优异的性能。
评价焊接性能时通常要考虑的是焊接能否承受设计负荷而不破裂,但这种评价标准在意外事故的调查中往往很难应用,因为在意外事故发生以后实际负荷很难估计。从实际情况看,最好是焊点或点焊熔接区完整而焊接以外的区域破裂。当这种情况发生时,就可以确认焊接是没有问题的。这种类型的破裂形式称为焊点拔出,如图2-17所示。
在许多汽车焊装工艺中,对于普通钢的焊接质量通过凿子冲击进行检查,这将导致焊点周边金属被拔出。如果出现这种情况,说明焊点比被焊接金属基体的强度高,表明是符合要求的焊接。但对于某些先进高强度钢,特别是当钢板厚度超过20mm时,贯穿焊点的破裂情况并不少见。这就产生了一个钢板件焊装检测的问题,如果不花费很长时间进行焊点的金相组织试样制作和观测,就不可能清楚地了解焊接金属是否很好地熔融。但为了避免潜在的法律责任,要求汽车制造厂必须证明焊接能够满足所有应用要求,并且焊点在破裂之前能够承受符合要求的负荷。这可能促使汽车制造厂使用其他方法检验这些类型的钢的焊接情况,例如超声波检测。
在实际应用中,焊点也可能以复合形式破裂,可能同时存在不同程度的界面破裂和焊点拔出破裂。对于最终的分析,究竟属于哪一种破裂形式需要根据承受负荷的情况确定,最终工程规范认定这些破裂形式并列出符合要求的标准。这对于焊接先进高强度钢时特别重要。
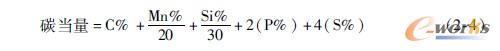
人们创造了一些评估裂纹敏感性的公式(Matsuda,1990;Olson et al,1993),每一个公式都含有不同的元素和对裂纹的影响程度。对许多钢而言,例如,高强度低合金钢和低碳双相钢,通过新日本制铁株式会社创造的碳当量公式已经发现钢的化学成分与焊点裂纹之间的密切关系。运用这一公式,通常在硼钢中残留的磷、硫和硅的量正常的情况下,碳当量可以达到036。试验表明,当钢的碳当量高于024,通常就会出现界面破裂情况。
2其他焊接
虽然点焊是在连接汽车车身结构件中最常使用的方法,其他方法如熔融极惰性气体保护焊(MIG)、激光装配焊接、结构粘接和激光拼焊也被采用。MIG是一种熔融极气体保护焊(GMAW),它利用可消耗的电极在惰性气体或半惰性气体的保护下进行焊接。这种焊接工艺通常用于汽车制造,但连接许多等级的先进高强度钢或超高强度钢时受到限制。由于熔融电极材料需要大量的热量,工件产生的热影响区比电阻点焊大得多,因而使用这种工艺时需要对被连接材料的合金以及热影响区的软化程度进行仔细研究。所以限制热量输入的技术,例如局部焊接而不是连续焊接、焊接速度、保护气体以及焊接尺寸等,需要与被连接的结构一起考虑。许多新的先进高强度钢和超高强度钢对于热影响区软化的敏感性导致人们在选择这一工艺之前不得不对合金、焊堆和焊接实践进行认真评估。但应该注意的是,这种技术在焊接较厚的低碳钢、高强度低合金钢以及固溶强化钢已有较长历史,并且具有良好的效果。
3粘接
汽车结构的粘接是一种正在受到广泛关注的技术。新一代高强度、无脆性粘结剂的发展已经增加了结构件粘接技术的使用,并且为汽车设计者提供了新的可选择的连接方法。这些新的粘结剂通常被称为碰撞韧性粘结剂,它使用橡胶协同增韧技术在粘结剂中形成了颗粒,使其具有极高的破碎韧度,这减少了在发生碰撞事故时破裂的可能,并因此改善了吸能特性。新一代粘结剂的一个重要改进是具有更高的工作温度范围,能够非常好地适用于汽车温度非常高的部位使用。
这些粘结剂的使用为通过减少焊接翻边尺寸、明显减轻重量创造了机会,并且改进了连接的结构效能。现在大部分的碰撞韧性粘结剂用于加强传统的点焊,然而减少点焊甚至完全由粘结剂取代点焊是人们感兴趣的问题。完全由粘结剂连接的结构件或许在数年以后即可成为现实,许多有才干的工程师正在迎接这一挑战,并且连接结构部件的粘结剂的使用很可能继续增加。
2.4.1高强度钢成形
在由钢板成形制造汽车零件的所有工艺中,传统的冲压是最常采用的工艺。零件是否采用冲压工艺取决于零件的复杂程度、是否容易获得冲压所需要的设备和模具以及其体积是否适合冲压工艺。尽管冲压是最常见的成形工艺,其他工艺如滚轧成形、热成形(或如通常所称的热冲压)以及油液挤压成形都用在不同的时期。下面的讨论将为读者提供以下资料:各种工艺选择的理由、各种工艺的优缺点以及不同零件采用这些工艺的实例。
1冲压
冲压是几十年来在汽车工业中零件成形最优先使用的方法。工业的制造基础主要基于冲压和使冲压工艺成功所需要的技术。冲压工艺取得如此成功的主要原因有:冲压工艺能够制造出工业通常需要的形状复杂的零件,也适合于制造工业需要的体积较大的零件。
传统的冲压工艺需要一套模具,使零件成形并根据需要压出翻边便于零件之间的连接、修整、冲孔或开槽。因此冲压工艺通常至少需要3个模具:成形模具、翻边和修整模具以及增加所需要的孔的冲孔模具。根据零件的复杂程度,可能需要增加成形工序,例如在进行零件成形冲压之前先进行预成形或弯曲冲压工艺。这一工艺可以用于深冲零件,并且通常使用可成形性非常好的低碳钢。但这种技术通常不能用于高强度钢,特别是先进高强度钢,正如前面所介绍的那样,先进高强度钢的加工硬化非常快,预成形会降低钢的伸长率和塑性,造成第二次成形困难。因此实际上通常的做法是在第一次的冲压工艺中即将零件成形为最终形状或尽可能接近最终形状。
一套形式最简单的传统冲模线通常由几个组合在一起排成一排的压力机组成,钢坯料送入第一个冲模,零件被冲压,然后零件传送到位于第二台冲压机上的第二个冲模,完成零件的第二道冲压工序,直至通过所有模具的冲压,完成零件的冲压成形工艺。由于需要一定数量价格昂贵的模具,为了降低成本,此工艺必须用于大批量生产。在通常情况下,冲压生产线每分钟生产冲压件10~14个,相当于一个8小时班次的生产能力为6000件。
另一种常用的冲压工艺是使用一种连续模,连续模是一个单个模具,连续模冲压工艺将多个连续进行的冲压步骤结合在一起,随着钢坯逐渐被压下,在每一个行程之间完成相应的冲压步骤。这种工艺最适合冲压不是非常深但需要多个阶段才能达到希望的形状的冲压件。在连续模冲压工艺中,钢直接由板卷送入冲压机,因而省去了下料以及运送坯料的成本。另一个优点是可以将许多作业结合到一个工序完成,因而不需要在模具之间传送零件。这种冲压工艺每分钟冲压的零件数量也明显高于传统的冲模线,特别是小零件的冲压最适合这种工艺。尽管这种模具比较昂贵,但这种冲压工艺的总成本与传统的冲模线相比并不高。
2整体成形性能
为了成功地完成冲压,在冲模设计时必须了解金属如何流动以及钢对于产生应变的反应方面的知识。现在这项工作主要由计算机成形程序完成,该程序能够评价零件形状和钢的成形性能、进行冲模设计、计算冲模表面与钢坯之间的摩擦力以及评估金属在冲模中的流动性。这些程序能够预测哪个部位应变将最大,哪个部位金属过薄可能出现危险,因此应修改模具或者零件形状。模具中的金属流动性受许多因素影响,包括钢的强度、钢与模具表面摩擦系数的差别、钢的塑性、抵抗颈缩的能力、润滑、钢的应变率敏感性以及金属如何被阻止流动进入模具,这些仅仅是影响可成形性的部分因素。
要确定某一零件需要选择的钢种是否有足够的成形性能的最简单的方法是使用成形极限图。成形极限图按照发明者的姓名命名也称为KelerGoodwin图,它可以用来划分冲压件应变区域并预测零件距离破裂区域有多远(见图2-10)。
图2-10成形极限图
成形极限图是一种非常有用并且非常易于使用的工具,由于曲线的形状对于大多数金属板材是相同的,要得到不同材料成形极限图只需要简单地将曲线沿Y轴上下移动即可,曲线在Y轴上的截距可用简单的公式计算得到,截距用FLD0表示。该公式基于钢的厚度和应变硬化指数(即n值),n是下列幂律方程的指数:
当评估冲压钢板的整体成形性能时成形极限图非常有用。钢板的应变可以通过在冲压前的钢板坯料上刻蚀出许多已知直径的圆确定,用一种具有许多一定直径的圆的薄膜在整个钢板表面上刻蚀上圆形图案(圆的直径通常为5mm),将具有圆形图案的钢板坯料放入成形模具,然后在与实际生产相同的条件下,即相同的坯料夹紧压力、相同的冲击速度、相同的润滑等,在成形模具中冲压。冲压后将钢板取出,技术人员就可以确定零件的某一部位如何变形并计算出产生的应变。这种方法冲压前、后钢板上的圆形图案如图2-11所示。
图2-11钢表面刻蚀的圆形图案实例
钢板的应变表现为主变形应变和次变形应变,在计算出被测试钢材的截距FLD0以后,这些应变被绘制在如图2-10所示的成形极限图上。如果任何部位的应变超过成形极限图上的曲线,就可以认为该部位存在颈缩甚至破裂的危险,应变低于成形极限图的曲线则可以认为是安全的。有许多介绍钢板成形性能的著作和期刊可以为感兴趣的读者提供这方面的工程知识。3局部成形性能
局部成型性能与整体成形性能不同,它通常不能由成形极限图进行预测,局部成形性能涉及的问题包括翻边的外侧破裂、挤压成的带法兰的孔的边缘破裂,在预期不可能破裂的低应变区域出现破裂。与传统的高强度钢如高强度低合金钢和碳锰钢不同,某些先进高强度钢,特别是抗拉强度达到和超过780MPa的双相钢,在低应变区表现出破裂的敏感性,特别是在成形的圆弧处。这些类型的破裂被称为剪切破裂,并且通常是大量评估的项目。其他先进高强度钢(如复相钢和TRIP钢),与双相钢相比有更强的抗应力裂纹性能(Walp,2006)。
4回弹
虽然所有的钢都具有一定的回弹性,但高强度钢的回弹现象最严重。在许多情况下高强度钢成形时回弹比破裂和颈缩是更严重的问题,因为回弹很难预测。一个翻边回弹的例子如图2-12所示。有许多补偿回弹的方法,一种方法是在设计模具时使其在冲压工艺中超过翻边要求的位置,当成形后翻边“回弹”到要求的位置。这在理论上是一种好方法,只是绝对回弹量往往受零件中可能存在的残余应力以及例如模具弯曲部位内侧半径等其他因素的影响,在实践中很容易造成回弹量不是不足,就是超过预期值,最终导致翻边没有达到设计位置。更糟糕的是当回弹引起整个零件扭曲变形时,可能很难确定变形的原因。所有这些问题的解决需要很长时间,这需要反复修整模具调整回弹,直至零件形状或翻边位置最终达到设计要求。
图2-12高强度钢的回弹
5辊轧成形
尽管几乎任何材料都可以辊轧成形,但它是一种非常适合于高强度钢(特别是像冷轧马氏体钢这样的高强度、低塑性钢)的工艺。辊轧成形是利用一系列的辊子逐渐将钢轧制成需要的形状。由于这是一个连续、板卷供料、直线成形的工艺,零件的形状需要在整个零件长度上保持不变,断面形状变化的零件不能采用这种工艺。但某些柱状辊轧成形工艺能够使零件弯曲并改变形状,有不少用这种工艺将强度非常高的钢辊轧成断面形状非常复杂的零件的例子。这些例子中的零件包括用双相钢DP1000或冷轧马氏体钢制造的保险杠,以及用冷轧马氏体钢制造的下边梁。这是两个要求除了在极大的负荷以外的所有情况下都必须阻止变形的典型零件。图2-13和图2-14示出了某些辊轧成形零件的典型结构。
图2-13超高强度钢辊轧成形的保险杠实例
图2-14超高强度钢辊轧成形的下边梁实例
6压淬压淬也称为模压淬火,通常是为选择的强度最高、重量最轻、形状比较复杂的零件提供的制造方法。在模压淬火工艺中,通常像碳、锰、硼合金钢这样可硬化性好的钢被加热到临界温度(通常为950℃左右),然后将其送到水冷模具并立即冲压和淬火到最后形状,零件的显微组织几乎是纯马氏体。这种工艺可以使零件的抗拉强度达到1400~1500MPa,并且能够制造形状复杂的零件。如果使用传统冲压工艺制造这些形状复杂的零件,只能使用强度非常低的钢。
压淬工艺从2000年起在汽车工业中的应用迅速增多,现在这种工艺几乎无一例外地用于像车门防侧撞杆、B立柱加强件等几个特定的零件的制造。这种技术主要用于安全性要求高的零件,在汽车受到侧撞或者发生翻滚事故时能够保护乘客的安全。通过压淬工艺可以为汽车工业提供在碳钢中强度最高的车身结构冲压件,某些典型零件如图2-15所示。
图2-15压淬工艺生产的高安全性冲压件实例
这一工艺的缺点汽车工程师也必须知道:由这一工艺生产的冲压件表面覆盖有很严重的氧化层,这些氧化层必须清除掉,以便于焊接并为喷漆提供一个良好的表面。清除氧化层常采用喷丸的方法,这不仅增加了额外的成本,而且零件中的残余应力可能导致变形。为了避免喷丸,钢铁工业提供了一种具有铝/硅合金镀层的产品可以阻止高温下的氧化。这种镀层避免了热成形后清除表面的需要,尽管它也面临着自身的一些挑战。镀层的存在不利于点焊,本来钢中的高合金含量就已经影响到了焊接性能。另外,镀层合金中含铁达到了影响镀层防腐蚀效果的程度。如上所述,用于这种工艺的钢必须有足够的强化性能使之能够得到高强度,例如,通过水冷模具得到的马氏体显微组织。为了满足高合金含量的需要,可能出现焊接裂纹,这一问题将在下面有关连接的内容中讨论。
2.4.2高强度钢的连接
大部分用于低碳钢的连接方法通常也能用于高强度钢,每一种方法都有其优点和缺点,因此汽车设计者必须懂得如何运用这些方法。高强度钢最常用的连接方法是点焊,这与其他用于车身结构的钢种是一样的。其他的连接方法如电弧焊、粘接、激光焊也可使用,尽管电弧焊的使用常常因加热区域大导致其强度比周围明显下降而受到限制。以下将对每一种连接方法进行简要讨论。
1点焊
汽车制造厂使用点焊连接汽车部件的主要原因是方便,高强度钢等级的改变对工业领域使用的连接方法的改变几乎没有影响。尽管点焊的基本技术几乎没有变化,但在焊接控制和工艺方面的改进,扩展了点焊在汽车工业中大量使用的高碳当量的不同等级钢中的应用范围。机器人焊接、自动反馈焊接、精密焊接控制器和焊接电极修磨仅仅是这种连接方法的一部分改进。除此以外,主动适应对材料改变的焊接周期、详细的试验以及对焊缝的评价也极大地扩大了能够按要求进行高质量焊接的钢的品种和等级。
焊接工程师评价点焊最重要的分析手段是准备和检测一个焊接区域金属的横断面,这种技术将显示有关焊接的重要信息,包括焊接裂纹或微裂纹、焊透深度和热影响区(HAZ)。结合其他的微量分析技术,研究人员还能确定焊点及其邻近区域的硬度,以及可能不利于焊点完整性的元素的分离。这些信息是非常宝贵的,如果不进行这种试验。焊接技术的发展就会受到制约而难以达到工作要求。
两块双相钢DP600之间的焊点横断面如图2-16所示,焊点横断面已经被制成试样,经抛光和侵蚀显示出焊点和热影响区的晶粒结构。另外,穿过焊点区的一排显微硬度测试点可以清楚地显示基体金属、热影响区和焊点金属的硬度。从这一焊点上可以观察到许多信息,首先可以观察到焊点熔接区两块钢板的一致性、焊透性很好。如果局部焊透或不均匀焊透就说明焊接条件可能存在问题。另外,横跨焊点区域的硬度一致,并且就像在显微照片中明显显示的那样,焊接电极处的变形量非常小。从热影响区的显微照片和显微硬度值可以很明显地看出,热影响区的硬度迅速降低,直至达到基体金属的硬度值。如图216所示的焊接可以认为质量很好,并且可以预测将具有优异的性能。
图2-16DP600/DP600双相钢点焊熔接区及硬度
评价焊接性能时通常要考虑的是焊接能否承受设计负荷而不破裂,但这种评价标准在意外事故的调查中往往很难应用,因为在意外事故发生以后实际负荷很难估计。从实际情况看,最好是焊点或点焊熔接区完整而焊接以外的区域破裂。当这种情况发生时,就可以确认焊接是没有问题的。这种类型的破裂形式称为焊点拔出,如图2-17所示。
图2-17焊接破裂形式
另一种破裂形式是界面破裂,界面破裂是指发生在穿越熔接区的破裂。这种形式的破裂发生的原因可能是热影响区太小或者没有明显地变软,或者被焊接的材料强度非常高,也可能存在部分熔焊的情况,或者焊接条件或被焊接的材料导致焊接金属变得容易破裂。这种破裂形式可能在低于设计负荷的作用力下发生,这当然是我们所不希望的。所幸的是破裂表面的检查可以很容易地显示出破裂的形式并排除焊接中可能存在的任何问题。界面破裂虽然不是一种常见的破裂形式,但需要注意的是界面破裂有可能是焊点的负荷超过了设计负荷引起的,因此界面破裂常发生在高强度钢之间的焊点而不是低强度钢之间的焊点。但显而易见,如果被焊接的钢板足够厚,即使低碳钢的焊点也可能发生界面破裂。在许多汽车焊装工艺中,对于普通钢的焊接质量通过凿子冲击进行检查,这将导致焊点周边金属被拔出。如果出现这种情况,说明焊点比被焊接金属基体的强度高,表明是符合要求的焊接。但对于某些先进高强度钢,特别是当钢板厚度超过20mm时,贯穿焊点的破裂情况并不少见。这就产生了一个钢板件焊装检测的问题,如果不花费很长时间进行焊点的金相组织试样制作和观测,就不可能清楚地了解焊接金属是否很好地熔融。但为了避免潜在的法律责任,要求汽车制造厂必须证明焊接能够满足所有应用要求,并且焊点在破裂之前能够承受符合要求的负荷。这可能促使汽车制造厂使用其他方法检验这些类型的钢的焊接情况,例如超声波检测。
在实际应用中,焊点也可能以复合形式破裂,可能同时存在不同程度的界面破裂和焊点拔出破裂。对于最终的分析,究竟属于哪一种破裂形式需要根据承受负荷的情况确定,最终工程规范认定这些破裂形式并列出符合要求的标准。这对于焊接先进高强度钢时特别重要。
人们创造了一些评估裂纹敏感性的公式(Matsuda,1990;Olson et al,1993),每一个公式都含有不同的元素和对裂纹的影响程度。对许多钢而言,例如,高强度低合金钢和低碳双相钢,通过新日本制铁株式会社创造的碳当量公式已经发现钢的化学成分与焊点裂纹之间的密切关系。运用这一公式,通常在硼钢中残留的磷、硫和硅的量正常的情况下,碳当量可以达到036。试验表明,当钢的碳当量高于024,通常就会出现界面破裂情况。
2其他焊接
虽然点焊是在连接汽车车身结构件中最常使用的方法,其他方法如熔融极惰性气体保护焊(MIG)、激光装配焊接、结构粘接和激光拼焊也被采用。MIG是一种熔融极气体保护焊(GMAW),它利用可消耗的电极在惰性气体或半惰性气体的保护下进行焊接。这种焊接工艺通常用于汽车制造,但连接许多等级的先进高强度钢或超高强度钢时受到限制。由于熔融电极材料需要大量的热量,工件产生的热影响区比电阻点焊大得多,因而使用这种工艺时需要对被连接材料的合金以及热影响区的软化程度进行仔细研究。所以限制热量输入的技术,例如局部焊接而不是连续焊接、焊接速度、保护气体以及焊接尺寸等,需要与被连接的结构一起考虑。许多新的先进高强度钢和超高强度钢对于热影响区软化的敏感性导致人们在选择这一工艺之前不得不对合金、焊堆和焊接实践进行认真评估。但应该注意的是,这种技术在焊接较厚的低碳钢、高强度低合金钢以及固溶强化钢已有较长历史,并且具有良好的效果。
3粘接
汽车结构的粘接是一种正在受到广泛关注的技术。新一代高强度、无脆性粘结剂的发展已经增加了结构件粘接技术的使用,并且为汽车设计者提供了新的可选择的连接方法。这些新的粘结剂通常被称为碰撞韧性粘结剂,它使用橡胶协同增韧技术在粘结剂中形成了颗粒,使其具有极高的破碎韧度,这减少了在发生碰撞事故时破裂的可能,并因此改善了吸能特性。新一代粘结剂的一个重要改进是具有更高的工作温度范围,能够非常好地适用于汽车温度非常高的部位使用。
这些粘结剂的使用为通过减少焊接翻边尺寸、明显减轻重量创造了机会,并且改进了连接的结构效能。现在大部分的碰撞韧性粘结剂用于加强传统的点焊,然而减少点焊甚至完全由粘结剂取代点焊是人们感兴趣的问题。完全由粘结剂连接的结构件或许在数年以后即可成为现实,许多有才干的工程师正在迎接这一挑战,并且连接结构部件的粘结剂的使用很可能继续增加。