汽车的最高车速是指在水平良好路面上汽车能达到的最高行驶车速。此时汽车的加速度d
u/d
t及道路坡度都为0,故汽车行驶方程变为

另外,发动机转速n与汽车车速ua之间存在以下关系

发动机转矩Tt
q与转速n的关系常采用多项式描述

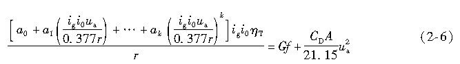
式中,系数a
0、a
1、a
2……a
k由最小二乘法确定;拟合阶数k随特性曲线而异,一般取3、4、5。把式(2.4)、式(2.5)代入式(2.2),可将行驶方程变为以车速u
a为变量的一元高次函数

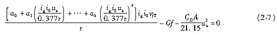
或
当发动机转速在怠速与最高转速之间变化且变速器处于最高档位时,对式(2.7)求导即可解出此函数的极值。其中极大值即为汽车的最高车速。显然,阶数k越高,计算越繁琐。为了直观地表达汽车各档位行驶时的受力情况及其平衡关系,可将汽车行驶方程用图解法表示,即将不同档位的驱动力连同由滚动阻力与空气阻力叠加形成的行驶阻力绘制在同一坐标系中。这样,汽车的最高车速便可以在图中直接档驱动力曲线与行驶阻力曲线的交点处得到。