1、流体基本方程或控制方程

或表示为:

若介质为不可压流体,密度ρ为常数,则方程(2-2)简化为:

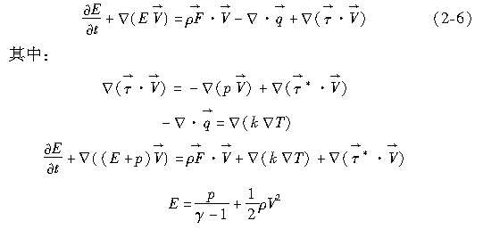
动量守恒方程即为著名的Navier-Stokes方程,简称N-S方程,其物理意义为:微元控制体中流体的动量对时间的变化率等于外界作用在该微元控制体上的各种力之和。笛卡儿坐标系下Navier-Stokes方程可表达为:
其中,下标 I 代表无粘性,下标V代表粘性。式(2-4)中各参数表示如下:

式(2-4)两端积分后可以写成:

其中,
分别代表无粘性和有粘通量(Flux Vector) 。
能量守恒方程的物理意义为:流人热量减去输出功等于内部能量变化率加上流出的烩减去流人的烩,其数学表达式为:

质量守恒定律、动量守恒定律和能量守恒定律反映流体运动规律的三组方程的理论解只有在一些简单情况、简单边界条件下才能获得,在大多数情况下只能借助有限元、有限体或有限插分原理才能求
得数值解。
很明显,方程(2-4)和(2-5 )这两个N-S方程是非线性的对流扩散型偏微分方程。一般情况下的N-S方程初边值问题解的存在性和唯一性尚未完全得到证明。只有在很苛刻的条件下,N-S方程解的存在和唯一性才能证明,例如,当质量力有势时。数学上已经证明N-S方程的解具有如下性质:
1)定常的N-S方程的边值问题至少有一个解,但是只有当雷诺数较小时解才是稳定的。
2)非定常平面或轴对称流动的初边值问题在一切时刻都有唯一解。
3)一般三维非定常流动的初边值问题,只有当雷诺数很小时才在任意时刻都有唯一解。
4)任意雷诺数的三维非定常流动的初边值问题,只有在某一时间区间内解是唯一的,时间区间的大小依赖于雷诺数和流动的边界,雷诺数越大则存在唯一解的区间越小。
N-S方程初边值问题解的存在说明,在雷诺数较小时,存在唯一的确定性解,也就是定常或非定常层流解;当不满足解的唯一性条件时,N-S方程可能存在分岔解。一般认为,随着流动雷诺数的增加,流动由层流向湍流过渡的现象是N-S方程初边值问题解的性质在变化所致,层流是小雷诺数下N-S方程的唯一解;随着雷诺数的增加,出现过渡流动,这是N-S方程的分岔解;高雷诺数的湍流则是N-S方程的渐近不规则解。总之,无论是层流还是湍流都服从N-S方程。
2、湍流模型及数值模拟方法
湍流是一种高度非线性的多尺度不规则流动。从表2-1看出,对于三维且较大的压力梯度以及中等的曲率和分离流动情况下流动模拟计算,应当采用低雷诺数下的湍流模型。表2-2中所示,低雷诺数模型解的边界层内层,Y+的适用范围为1~~10;高雷诺数模型解的对数边界层,Y+的适用范围为20~~50,但对数函数不适用于分离流。所以低雷诺数模型更有价值。


对于压气机来说,其内部流动主要是湍流运动。根据表2-1、表2-2和图2-5,目前在叶轮机械粘性流动计算中最常用的湍流模型就是一方程的S-A模型和两方程的k-ε模型。
代数湍流模型通过混合长度来确定湍流粘性系数,与湍流动能无关。在湍流输运模型中,湍流粘性系数与湍流动能以及其他一些湍流量相关。对于可压缩流体的稳态流动,不考虑重力的影响,标准k-ε二两方程模型的输运方程为:


0世纪70年代以来,随着计算机技术的迅速发展,数值模拟已成为研究湍流的有效手段。根据计算条件和研究湍流的不同目的,各种湍流数值模拟方法的精细程度有不同的层次。湍流的数值模拟方法可以分为两大类:直接模拟方法和非直接模拟方法,如图2-6所示。

湍流最精确的方法是直接数值模拟(Direct Numerical Simula-tion,简写为DNS),即无须采用任何湍流模型直接求解三维瞬态N-S方程,就可得到各种不同尺度瞬时湍流流场。但DNS对内存空间及计算速度要求非常高,所以目前无法应用于真正意义的工程计算。
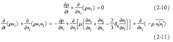
雷诺平均(Reynolds Averaged Navier-Stokes,简写为BANS)就是把Navier-Stokes方程中的瞬时变量分解成平均量和脉动量两部分。对于速度,有:
其中,
分别是平均速度和脉动速度;指标b的取值范围为(1,2,3)。
类似地,对于压力等其他标量,也有:

式中Φ—标量,如压力、能量、组分浓度等。
把上面的表达式代人瞬时的质量连续与动量方程,并取平均(去掉平均速度
上的横线),可以把质量连续与动量方程分别写成如下的笛卡儿坐标系下的张量形式:

式中ρ—密度;
x—实际流动区域的空间坐标;
指标i和J的取值范围为(1,2,3)。
上面两个方程称为雷诺平均的Navier-Stokes ( BANS)方程。它们和瞬时Navier-Stokes方程有相同的形式,只是速度或其他求解变量变成了时间平均量。额外多出来的项
是雷诺应力,表示湍流的影响。
大涡模拟(Large Eddy Simulation,简写为LES)方法是介于直接数值模拟和Reynolds平均法(BANS )之间的一种湍流数值模拟方法。它的基本思想可以概括为:用瞬时的Navier-Stokes方程直接模拟湍流中的大尺度涡,不直接模拟小尺度涡,而小涡对大涡的影响通过近似模型考虑。总体而言,LES方法对计算机内存和CPU速度要求仍然比较高。
3、CFD分析流程
采用CFD方法分析各工况下的涡轮增压器内流场,就是从其具体的几何边界条件和物理边界条件出发,在流动基本方程(质量守恒方程、动量守恒方程和能量守恒方程)控制下对流动的数值模拟,得到复杂的三维流场内各个基本物理量的分布规律,并据此进行后处理,得到所关心的物理量,如流场速度分布和应力分布等,其基本过程如图2-7所示。

ICP经营许可证:鄂B2-20080078
(于2003年首获许可证:鄂B2-20030029)
鄂公网安备:420100003343号
© 2002-2025 武汉制信科技有限公司 版权所有
投诉举报电话:027-87592219