您现在的位置:e-works > 智造书屋 > 书籍列表 > 轻量化—原理、材料选择与制造方法 > 轻量化的计算与设计概念

第一章 轻量化原理

第二节 轻量化的计算与设计概念

提要
    本节首先介绍轻量化计算方法,然后阐述轻量化设计原则。之所以选择这样的顺序,是为了能够研究轻量化结构中典型失效形式(及其预测)的计算方法。这样便可以理解随后介绍的设计措施,采用这些措施可以有效地防止结构失效。
    在轻量化体系的评估与设计中,需要注意到与强度和刚度有关的标准。由于在轻量化中多采用薄壁结构,与结构刚度相关的标准增加了很多,例如:避免大的变形、避免刚度主导的不稳定性(如压弯或者凸起)。在本节中重点介绍了这类失效形式。
考虑到现代轻量化结构中采用了越来越多的复合材料与材料复合物,本节也介绍了三明治结构与层合结构的计算方法。
    在1.2.5“轻量化设计原则”中,给出了轻量化设计的建议,即如何在构造设计中通过相对小的和简单的改动来节约构造的质量(由此降低重量),并大幅提高结构的承载能力。本节中还讨论了整体构造和差分构造的优缺点,最后说明了在轻量化设计中如何应用拓扑优化、形状优化、参数优化与材料优化等方法。
   1.2.1引言
    “轻量化”不仅成了现代流行词,而且在现代机械制造几乎所有的领域中都成了最重要的目标之一。为了让轻量化不仅仅成为一个时髦的用语,而是真正地实现轻量化的目标,则必须具备关于轻量化设计概念、轻量化计算方法以及对这些概念和方法有的放矢地应用的相应知识。
那么,什么是“轻量化”呢?轻量化是对构件进行设计,使构件在满足使用要求的情况下,尽可能地轻。更准确地说,构件占有尽可能小的质量。
    当这里谈到“构件满足使用要求”的同时,也意味着在设计构件的时候要考虑到不同的失效形式。轻量化设计往往会采用薄壁细长的结构形式,因此,在任何情况下,都不能只考虑强度要求(材料失效),在更大程度上还要注意满足刚度要求,即变形不能超过允许的范围,而且必须确保结构具有足够的稳定性。这意味着,轻量化设计不仅要考虑到静态不稳定,如压弯、倾斜、凸起、击穿或者达到塑性载荷极限,还要考虑到动态不稳定的形式,如颤动或者参数谐振。因此,稳定性分析的概念在轻量化设计中有着特别的意义。
    本书中的第2章介绍了轻量化材料的选择方法,第3章介绍了轻量化制造的方法。在本节中,则要介绍轻量化设计的一些基本原则以及几个采用轻量化计算方法进行优化的策略,这些内容在参考文献[1-4]。中有着详细的叙述。
    采用准确的以及可靠的计算方法,可以按照轻量化原则来确定设计条件,就是说,可以减少或者完全去除基于近似估计或者基于安全系数计算而增加的质量。采用准确的计算方法,可以将安全因数回归到接近1.0。通过优化方法,可以进一步将材料的满负载均匀化,而无须再依赖单一的细节(如缺口应力集中或者载荷导入位置)来确定在载荷应力较小区域的壁厚。
由于篇幅的原因,本节不对介绍的内容进行深入的讨论,而是给出了相关的文献作为参考,以便于读者进一步研究。
    1.2.2几种轻量化计算方法
    从结构力学角度来看,原则上可以将轻量化分为变形/应力分析、稳定性分析与振动分析。进一步还可以区分为分析方法和数值方法,即计算机辅助方法,例如有限元方法。在轻量化中,有限元方法是不可或缺的(有限元方法的产生要归功于飞机制造的轻量化)。不过,关于有限元方法的介绍超出了本章节的范围,要了解这种方法可以阅读相关文献,如参考文献[5]。这里可以明确指出的是,如果没有足够的有限元方法和材料力学理论知识基础,即使是采用用户友好的有限元软件进行轻量化设计,风险也是很高的,因此也是不值得推荐的。

机车车顶构造的剪场

图1-2-1机车车顶构造的剪场

    下面将讨论一些典型轻量化结构的应力分析方法,但是不对方法进行深入探讨。本节将考察结构稳定性、三明治结构与层合结构及其优化。
    1剪场理论
    一般来说,薄壁的平板结构形式和壳结构形式容易发生凸起。要显著地提高凸起载荷与凸起安全性,可以采用支柱或者肋条来减少主要的凸起场。对于凸起轮廓的节点线来说,这些支柱或者肋条具有足够的刚度(图1-2-1)。对于(由横向力弯曲和扭转引起的)剪切载荷来说,肋条栅格结构的刚度和强度则往往不够大。为了弥补这个缺陷,可以引入一层薄“皮”来承受主要的剪应力载荷。为了实现壁型轻量化结构形式,可以设计出多种多样的由薄壁板材组成的构件,这些板材连接在相对刚性的翼缘上(比较图1-2-1)。在所有这些情形下生成的结构形式,都要借助下面将要介绍到的剪场理论来对应力载荷进行近似计算。
    图1-2-2对剪场理论的近似法进行了说明,这里采用了带有薄壁高腹板工字梁横向力弯曲的例子。
    图1-2-2中介绍的近似法的前提条件是:满足tS<<h与tSh<<btG(一般有:AS<<AG)。这里介绍的简化方法也可以转换到由杆和连接的“皮”构成的复杂轻量化结构上,其前提条件是将剪场近似为矩形剪场,即在亚临界状态下(假设为相互铰接连接的)边界杆上只有法向力,场中则主要是剪切应力起作用。由此可以得出,剪流qi沿着剪场i的边界为常数,在杆中的法向力为线性变化(该近似假设会导致运动学上的不相容性,在此不予深究)。

由横向力弯曲导致的法向应力和剪切应力变化

图1-2-2由横向力弯曲导致的法向应力和剪切应力变化

a)在工字梁中b)相应的剪场近似假设
对有两个分剪场的壁型桁梁剪场加以理想化

图1-2-3对有两个分剪场的壁型桁梁剪场加以理想化

    在图1-2-3中采用了一个简单的例子对剪场理论进行说明,图中所示为壁型桁梁(剪场桁梁)(在右图中,以图表的形式表示了壁杆的应力载荷(法向力分布)。在原理草图下面的图中说明了法向力图表的意义。)。
    对于图1-2-3所示的剪场桁梁,可由全程平衡条件得出:AV=P1+P2,AH=B=[P1(a1+a2)+P2a2]/h。采用截面原理,由部分结构的平衡条件,可以求得在两个板场的剪流q1和q2。例如,对杆S1有:q1h-P1=0,由此得出:q1=P1/h。以此类推,可由杆S3的平衡条件得出:q2=AV/h=(P1+P)/h。为了控制,也可以引入其他的杆系(不过,对于图中所示的简单情形来说则没有必要):例如系S5和S4,其平衡条件为:B-q2a2-q1a2=0。在求出剪流后,可以计算出在边界杆上的法向力。由于将剪场加以理想化后,剪流可以近似为常数,则法向力是线性变化的。图1-2-3中表明了这种变化过程。
    需要注意的是:当剪场(主场、腹板等)发生凸起时,采用剪场的轻量化设计通常都有相当大的支撑储备,所以凸起后的剪场会逐渐转移到一个“拉伸场”(见1-2-3小节)。不过,由于自由状态的壁型桁梁抗扭刚度很小,很容易以“倾斜”的形式趋向于不稳定。2杆状轻量化结构的扭转
对于薄壁横截面的杆状轻量化结构来说,在扭转应力载荷作用下,结构是开口型材还是闭口型材差别很大。这里不对翘曲力扭转产生的后果进行深究,而是基于圣维南扭转近似方程,对轻量化最重要的关系进行总结。首先说明开口型材和闭口型材之间的几个本质区别(图1-2-4)。

扭转

图1-2-4扭转

   a)开口薄壁型材b)闭口薄壁型材扭转产生的剪切应力在开口、薄壁型材中沿壁厚线性变化(扭转剪流=0),而在闭口薄壁型材中的剪切应力沿壁厚为常量(可以看出,在强烈翘曲区域有剪切应力集中)。在开口型材中,最大剪切应力出现在最大壁厚处;在闭口单一型材中,最大剪切应力则出现在最小壁厚处。
    特别值得注意的是,在几何尺寸相近、材料消耗相同的情况下,开口型材的抗扭刚度要比闭口型材的抗扭刚度小得多。
    (1)开口薄壁型杆一般来说,开口薄壁型杆的抗扭刚度非常小,这是因为与闭口型材相比,开口型材的扭转阻力JT非常小。因此,在相同的比例关系下,开口型材的扭转ν和剪切应力τmax大于相应的闭口型材的扭转和剪切应力。在没有翘曲阻碍的情形下,有(l为展开的型材长度)

公式

    对于考虑到翘曲阻碍行为的描述见参考文献[1、6、7]。
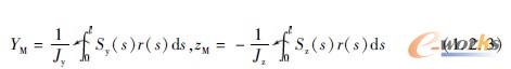
    参照通过重心S的惯性主轴y、z,借助下式,可求出剪切中心点M(是在横截面平面上的一个点,当横向力不产生扭转时,该横向力的作用线必经过这个点)(图1-2-5a):

公式

式中,Jy和Jz为整个横截面的轴向面积惯性矩;Sy(s)和Sz(s)为在s内略去的基于y和z轴的面积分量的静态矩。
    注意:对称型材的剪切中心点位于对称轴上。在这种情况下,为确定M的位置,选择了对称轴上的任意一基准点(就是说,不必求出重心)。
    在图1-2-5b中给出了细长开口管的剪切中心点,位于未开口顶点外距离R处。对于C型材等也有类似的比例关系!
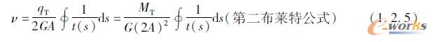
    (2)闭口薄壁型杆上面提到,闭口薄壁单一型材(图1-2-6)的扭转剪流qT沿型壁中心线为常量,由此有

公式

式中,A为型壁中心线围起来的面积。

剪切中心点M与开口薄

图1-2-5剪切中心点M与开口薄壁型材重心S的关系

a)集中横截面分量情形b)细长开口圆型材M的位置
薄壁闭口型材

 

图1-2-6薄壁闭口型材
(第一布莱特公式说明)

    根据方程式(1-2-4),对扭转ν有

公式

    可以得出扭转阻力为

公式

    应当再次指出,闭口型杆的扭转比同类型的细长开口型杆的扭转要小几个数量级。
对于多个闭口薄壁空心型杆(如挤压型材)扭转的处理可参见参考文献[7]。
1.2.3稳定性损失——压弯、倾斜、凸起、击穿
    在静态载荷下,轻量化结构及其组件也会产生不稳定,其原因是发生平衡转移(压弯、倾斜、凸起)、击穿(“瞬间穿过”表示了一个动态过程)、达到塑性载荷极限或者在非保守载荷情况下的颤动,也可以是这些不稳定因素的组合。关于稳定性问题处理方法的详细介绍可见参考文献[8]~[11]。热载荷下的稳定性损失是一个比较特殊的情形,这里不予介绍,具体可见参考文献[12]。
    最常见的稳定性损失形式是平衡转移。要评估构件的缺陷敏感度,具备结构凸起后行为的形式等方面的知识是非常重要的,图1-2-7中所示为载荷—位移曲线形式。

平衡状态下典型稳定性损失形式的载荷—位移图表

图1-2-7平衡状态下典型稳定性损失形式的载荷—位移图表

a)~c)平衡转移d)击穿

    对于易凸起、易摇摆的多边形轻量化结构来说,击穿容易造成结构的稳定性损失(图1-2-7d)。在载荷单调上升的情况下,当载荷达到击穿点(载荷—位移变化曲线上的最大值)时,构件会被击穿,从而在(由衰减造成的)动态过程渐渐消失后,达到新的平衡状态(不一定必须存在)。在很多情形下,由于变形过大,会导致塑性变形,以至于结构完全崩溃。
    在对轻量化结构形式的稳定性安全进行评估的时候要注意,根据几何形状比例关系和局部刚度的情况,结构的整体或者局部的稳定性损失形式也可能是不同的(图1-2-8)。

图1-2-8局部稳定性损失(a~e)和整体稳定性损失(f、g)的各种形式,以一个冯麦斯(von Mises)双杆示例说明

    a)桁架结构杆的压弯b)空心型材的凸起c)型壁的凸起
    d)三明治覆盖层的压弯e)波纹f)结构的整体击穿g)桁架结构作为杆整体压弯为此,要对稳定性损失所有可能的形式进行考察,以得出最低临界载荷。一般来说,一旦发生了某种形式的稳定性损失,系统的刚度就会发生改变。在载荷(只要还有可能)进一步增加的时候,就需要考虑到系统刚度的这一变化。在很多情况下,将第一次出现的稳定性损失作为载荷极限。针对这一极限值,要给予足够的几何形状设计安全(但是不必要过高)。不过,在稳定的凸起后行为作用下,通常直到在载荷明显增大的情况下,结构才会完全破坏(对比上面提到的从剪场到拉伸场的过渡)。
    1轴向承载杆的稳定性损失
    对于轴向受压的杆状轻量化结构形式来说,其整体稳定性损失的一般形式为弯曲扭转压弯,其中也包括了“经典”的欧拉压弯(弯曲压弯),不过这是一种特殊的形式。
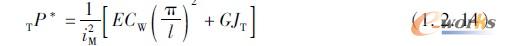
    (1)弯曲扭转压弯平直轴向受压杆的不稳定形式有弯曲压弯、(耦合)弯曲扭转压弯和纯扭转压弯。对于各向同性、均质、线弹性材料来说,这几种转移情形在恒定横截面下,可以采用下面的耦合微分方程来求解在y和z向上的横向位移v和w,以及扭转χ[13]:

公式
公式

式中,Jy和Jz为在惯性主轴上以面积重心为基准的轴向面积惯性矩;P是作用在横截面重心上的轴向力(正向受压);CW为翘曲阻力;iM为基于剪切中心M的横截面的极惯性半径,其重心坐标为

公式

式中,A为横截面面积;Jp为极惯性矩。
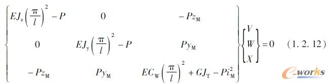
    由方程式(1.2.7)至方程式(1.2.9)的表达式以及边界条件可以导出用于转移载荷计算的特征值问题。
    例如,一根横截面恒定的杆由叉形轴承支撑,即:对于x=0与x=l有:v=0,v″=0,w=0,w″=0,χ=0,χ″=0,则在杆轴向末端作用的临界轴向载荷可以用下式确定:

公式

表达式(1.2.11)满足所有的边界条件,可以作为上述微分方程系的非常规解法来求解转移载荷(临界轴向载荷)。将其带入方程式(1.2.7)~(1.2.9)中可以得到对于“位置坐标”V、W、X的下列代数方程系:

公式

    由于转移表示常规平衡箭头发生了偏转,V=0∧W=0∧X=0,要求非常规求解,即消除方程式(1.2.12)中的系数行列式,通过将行列式置零,可以得出用于求解临界载荷P*的方程式。
    双对称横截面(用y和z来表示对称轴)的剪切中心为yM=zM=0,并且方程系(1.2.12)是去耦的,则转移载荷P*可如下确定:
    对V≠0(围绕z轴压弯)和W≠0(围绕y轴压弯),其对应的杆压弯经典欧拉公式分别为

公式

    对于X≠0,则纯扭转的临界载荷为

公式

    用于评估稳定性安全的决定性临界载荷是上面这些值中的最小值。
如果只存在横截面的简单对称(z轴为对称轴),则有yM=0和zM≠0,方程系(1.2.12)中的第二个方程可以用另外的方程去耦。对W≠0(围绕y轴压弯),可以得出上面的yP*特征值。剩下的两个耦合方程式可以非常规求解,当[采用方程式(1.2.13)和(1.2.14)的符号]满足:

公式

    二次幂方程式(1.2.15)中复位的P1*,P2*表示耦合弯曲扭转压弯的临界载荷。这里,也采用临界载荷的最小值作为安全评估的临界载荷。
    采用这种方法来求解完全不对称横截面(y轴和z轴为通过重心的惯性主轴)的杆:
1-zP*P*i1-yPPi1-TPPi-1-zPPiyMiM2-1-yPPizMiM2=0(1216)
三次幂方程式(1216)中复位的P1、P2、P3表示耦合弯曲扭转压弯。这里,也是采用最小值作为安全评估的轴向临界载荷。
(2)欧拉压弯对于排除扭转压弯或者弯曲扭转压弯的情形,即在只有纯弯曲压弯时,则恒定横截面均质杆的压弯载荷为

公式

图1-2-9在不同的边界条件下确定压弯杆的压弯长度lK

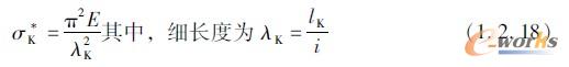
横截面上的临界轴向应力(压弯应力)为

公式

式中,i为轴向面积惯性矩的惯性半径。
    当压弯应力的值大于材料的屈服强度(镦粗杆情形,即更小的细长度λK)时,则不再有弹性压弯现象发生了,而是会发生塑性压弯。非弹性压弯的详细处理方法参见参考文献[8],实际操作方法亦可参见参考文献[1、2]。
    需要注意的是,为了评估压弯安全,要引入压弯轴与横向位移的方向w来求出最小压弯载荷。这里,压弯轴与横向位移方向取决于横截面形状与边界条件。
    参考文献[4、6]给出了均匀弹性嵌入杆(Winkler—温克勒地基)的压弯载荷的处理方法。
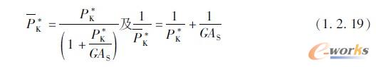
考虑到剪切变形,在按照方程式(1.2.17)得出的欧拉压弯载荷P*K(即无剪流)和由参考文献[4、6]得出的压弯载荷PK(有剪流)之间有如下关系:

公式

式中,(GAS)为抗剪刚度;G为剪切模量;AS为剪切横截面。
    这类可减少压弯载荷的效果也可以在三明治结构形式(见1.2.4小节)中看到。
 

    2高细长抗弯梁的倾斜
    对于横截面抗扭刚度很低且Jy>>Jz的杆状轻量化结构形式(图1-2-10)来说,弯曲力矩与横向载荷(力矩My、横向力Qz、屈服载荷pz)也可以导致不稳定,即倾斜。在图1-2-10中,χ表示了横截面扭转,为此可以比较方程式(1.2.7)~(1.2.9)。

高桁梁的倾斜

图1-2-10高桁梁的倾斜

    参考文献[8]中对这种不稳定形式进行了研究。用于求解临界载荷的公式可见参考文献[14、15]。例如,对一个均质悬臂桁梁,其横截面为薄壁高矩形横截面b×h,当h>>b和l>>h时,作用于自由桁梁末端的、可导致倾斜的临界横向载荷近似为

公式

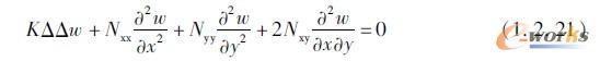
    3平板的凸起
    在平板平面载荷的作用下,平板可以从常规(即平面)变形转变成非常规变形(横向位移w),即平板发生凸起。由载荷产生的薄膜应力状态可以用内力变量Nij来描述,Nij为每个长度单位上的薄膜力。这里以各向同性矩形平板的弹性凸起为例加以说明,进一步的探讨可见参考文献[1、3、16]。
    (1)薄壁矩形平板的弹性凸起每个薄膜应力状态(以及导致这种应力状态的载荷)都被标识为“临界”的。按照对于杆情形所描述的方法类推,在这种应力状态下,考虑到边界条件,第一次出现线性的、针对纯粹盘载荷的冯卡门(von Kármán)平板方程的非常规解法为(参看参考文献[16])

公式

    这里,假设受压薄膜力为正。均质、线弹性、各向同性、厚度为t的平板的抗弯刚度由公式给出。
    在确定载荷类型和边界条件弹性凸起的前提条件下,通过这种方法,可得出表征凸起临界状态的薄膜应力为

高桁梁的倾斜

式中,k为凸起因子。凸起因子取决于载荷类型、边界条件和矩形平板的长宽比。横向延伸系数v也代入k。这种相关性以图表的形式见于各种文献中,如参考文献[1、3]。图1-2-11所示的恒定单轴的薄膜压力载荷图表就是这样的一个例子。

确定凸起因子k的图表。在单轴压力载荷作用下的矩形平板的凸起,显示了各种长宽比和支座条件的凸起形式

图1-2-11确定凸起因子k的图表。在单轴压力载荷作用下的矩形平板的凸起,显示了各种长宽比和支座条件的凸起形式

    要确定混合薄膜应力载荷作用下的弹性凸起,可以采用交互关系(参见参考文献[17])与交互图表(参见参考文献[3])。图1-2-12所示的例子为长平板条双轴的压力—薄膜载荷的交互图表。其中,Rx为在x向上已有的压应力和凸起临界应力之间的比例关系,该比例关系是在x向上承受单轴应力载荷的情形下确定的。以此类推,Ry为在y向上已有的载荷应力与凸起应力之间的比例关系。如果通过(Rx,Ry)确定的点落在由交互曲线限定的区域内,则有亚临界比例关系;在交接曲线之外的值偶则表示了不稳定的载荷组合。

双轴压力(长平板条)下的交互图表

图1-2-12双轴压力(长平板条)下的交互图表

    上面所考察的临界薄膜应力的关系是在线弹性材料行为假设条件下获得的。因此要注意,作为比较应力的临界应力,如果其结果超出了屈服强度,则是无效的。在这种情况下,则存在非弹性凸起,这里不加以讨论,详见参考文献[1、3]。
    与杆压弯类似,在平板%E@???8@情况下,如果考虑到了横向剪切挠性,则临界载荷会减小,参见参考文献[4、18]。对于三明治板要特别注意这一点!
    在出现第一个局部不稳定(关键词“共承载宽度”)后,对加强平板及其承载储备能力的处理可以参见参考文献[1、3]。对正交各向异性平板凸起的处理,可参见参考文献[16、18],这种凸起在由复合材料构成的平板中比较重要。

薄壁型材杆的典型不稳定形式(型壁凸起)

    图1-2-13薄壁型材杆的典型不稳定形式(型壁凸起)

    (2)受压薄壁杆型壁的局部凸起由薄壁型材构成的杆,在轴向受压时,可能会产生不稳定,原因有整体压弯(包括弯曲扭转压弯)、杆壁(甚至相对比较厚的壁)的弹性凸起、型壁的塑性凸起,以及以上这些形式的组合,见图1-2-13。
    型壁凸起的形式见图1-2-14。

型壁凸起样本的振幅分布图示

图1-2-14型壁凸起样本的振幅分布图示

    确定了合适的(保守的)边界条件后,在第一次近似时,可以将这些局部凸起作为单一平板条的凸起来处理。为了更准确地对杆壁的凸起进行分析,需要考虑到:由共同的棱相连接的杆壁的凸起样本相互之间是有关联的。一般来说,它们有相同的波数。对这些问题的研究见参考文献[3]。
    (3)从剪场到拉伸场的过渡(拉伸场理论)平板凸起的一个特殊形式是剪场的凸起。承受亚临界载荷剪场中的应力状态可以用位于剪场中心的莫尔(Mohr)应力圆来加以表述(图1-2-15)。

    图1-2-15莫尔应力圆;拉伸场的发展随着外载荷的增加,剪场中的剪应力增大至临界剪应力公式,则剪场发生凸起。式中的k为凸起因子,凸起因子可由图表中得出。该图表与在边界杆中剪场的连接方式有关,参见参考文献[3]。凸起之后会形成皱褶,皱褶方向近似为压力—主法向应力方向,即与边界杆成大约45°角。

    在腹板上的剪切应力τ也会增加到过临界状态。在已经凸起的场上,外力还在增加(一般来说,这样的情形非常多)。在过临界情形下,主法向压应力很难再增加了,因此,图1-2-15中以τ为半径而变大的莫尔应力圆向右移动,从而形成了一个“拉伸场”(Wagner—瓦格纳拉伸场,见参考文献[19])。
    对于非常高的超限度:ξ:=τ/τ*,凸起场的应力状态可以由莫尔应力圆(见图1-2-15)直接求出。这里假设拉伸场为理想拉伸场,σ2=0,折叠角为45°:σ1=2τ,σxx=σyy=τ(1.2.23)
只在过临界状态场中出现的法向应力分量σxx与σyy(总是为拉应力!)会导致在场和杆连接之间产生附加应力载荷,也会导致杆自身产生附加应力载荷:弯曲和更多的法向力。图1-2-16超高限度下剪场桁梁完全失效
    一般来说,根据评估标准的不同,在场中出现皱褶不能算是失效形式。对于构件失效来说,还必须考虑到在场中出现第一个皱褶后的结果(图1-2-16):局部塑化(永久变形)、场的拉断(垂直与皱褶主要是σ1)、由于杆的压弯而导致的整体稳定性损失、杆型壁的凸起、连接失效或者是壁型支撑的整体倾斜。
 

 
 

    4回转壳的凸起
绝大多数情况下,薄壁壳的凸起表示了带有不稳定凸起后行为的转移问题,即指出了高缺陷敏感度的问题(图1-2-7)。在面积压力载荷作用下翘曲弱的壳(如外压力作用下的薄壁球形罩)或者在集中横向载荷作用下的薄壁壳也会被击穿。受限于篇幅,下面只考察轴向受压圆柱壳,关于壳凸起的进一步探讨可参见参考文献[9、20、21]。

图1-2-17用来确定承受轴向压载荷的圆柱壳凸起因子k的图表,显示出了针对不同几何参数的凸起形状

    圆柱壳的凸起对于均质、线弹性、薄壁、轴向受压(轴向薄膜压力Nxx)的承载圆柱壳来说,理论(即前提条件为:完美几何形状与载荷导入,线弹性、各向同性、均质的材料)“经典”凸起应力可通过由多奈尔(Donnel)方程(见参考文献[16])得出的微分方程进行求解:

公式

在一个(实际上几乎没有意义的)轴向对称的、纵向周期变化的解法表达式(径向和切向边界不可移动)中有

公式

    在参考文献[22]中,通过对稳定性进行深入分析之后的结果表明,方程式(1.2.25)也可用于对重要的非轴向对称凸起形状的理论凸起应力的计算,方程式中的凸起因子k与图1-2-17中吊挂图表的几何形状比例关系(R/l与t/R)有关。
    务必要注意的是,在边界为径向可移动或者自由的情形下,临界轴向载荷会明显下降,参见参考文献[21]。在引入非线性凸起理论的情形下,重要的扩展研究方法参见参考文献[9]。
在吊挂图表(图1-2-17)中,可以看到在短的、中长的和长的圆柱壳中载荷的导入情况。这一顺序在规格手册中通过几何参数来确定,参见参考文献[23、24]。
对于边界径向和切向不可移动的中长圆柱壳,理论临界轴向压应力(对弹性凸起)通常可借助下式计算,假设ν=0.3:

基于缺陷(与边界弯曲破坏)导致实际凸起应力小于理论凸起应力

图1-2-18基于缺陷(与边界弯曲破坏)导致实际凸起应力小于理论凸起应力

公式

    这只是个近似值,特别对于较大的lR值来说(如同在图1-2-17中所看到的那样)。
   由于存在不稳定的凸起后行为,薄壁壳与这里讨论的圆柱壳的缺陷敏感度非常高。基于这个原因(以及边界弯曲破坏的原因),实际中,壳有被击穿的危险。实际的凸起应力值σ*pr明显小于理论值σ*th(图1-2-18)。
    考虑到这一状况,须引入一个缩减系数αA,该缩减系数可根据设计规则和质量尺度得出(参考文献[21,23]):

公式

    由于中长圆柱壳的弹性凸起只是一个局部现象,凸起也可以采用局部应力状态来确定。同样地,由最大轴向压应力导致的在整体弯曲下(与实际的轴向载荷叠加)的凸起,可以用上面的公式来进行研究。
    在弹性轴向载荷凸起情形下,内部过压pi有稳定性作用[24]。这里,内部过压主要是通过对几何形状缺陷进行平整起到稳定性作用。不过,过高的内压会导致产生周围拉应力,而这会有利于塑化,最后则会产生不稳定!参考文献[21]对这一现象进行了深入研究。
    一般来说,在研究壳凸起的时候要注意,只有在计算凸起临界应力状态距离超出屈服极限足够远的情况下,才允许采用上面的凸起公式。还要考虑到,由于边界弯曲破坏,薄膜应力状态不是唯一造成开始产生塑性化的决定性因素。为此可以参考专业文献(如参考文献[24])中关于弹性凸起关系应用局限和弹塑性凸起处理方法的有关内容。
    对于轴向受压的短圆柱壳弹性凸起的研究,可以考察壳凸起或者板凸起:其方法与求解中长圆柱壳的临界应力相同。不过,还必须要考虑到,短圆柱壳的凸起会越来越接近于翘曲平板的凸起,详见参考文献[9]。
    在最后得到的两个临界应力中,较大的那个应力值为决定性的临界应力。
对于长圆柱壳来说,随着凸起的增加,圆柱壳会如同管状杆那样发生整体压弯。对于弹性凸起以及长圆柱体壳凸起的研究,可借助公式:

公式

    对于杆压弯,同样可借助(圆环形横截面)杆压弯公式,见方程式(1.2.17)。这里,在两个临界轴向载荷值中,较小的值起着决定性的作用。
   对于承受外压力载荷的、扭曲的、倾向于剪切的和组合负载的圆柱壳的情形,这里不予探究,有关内容可参见参考文献[9、20、21]。在这些文献中,也可以找到关于其他回转壳、刚性壳与各向异性壳凸起的内容。
 

    1.2.4三明治结构与层合结构
    在轻量化中,为了使构件在尽可能小的质量下达到更高的强度和刚度,根据情况将不同的材料以有效的方式组合在一起构成材料复合物。复合物的成分可以是均质材料与自连接材料或者是胞状结构的三明治芯材料。这种材料设计方法的两个代表是三明治结构与层合结构。
    1三明治结构
    本质上,三明治单元是由覆盖层和形芯层构成的。由于形芯层的存在,上下覆盖层之间有一定的距离。覆盖层较薄,采用强度和刚度较高的材料;形芯层则采用尽可能轻的、具有足够的抗剪刚度和抗剪强度的材料(图1-2-19)。采用这种构造方式,可以在很小的面积重量下达到很高的抗弯刚度和抗弯强度。在轻量化中,这种结构主要用在桁梁、平板或者壳的结构形式中,用于需要在尽可能小的重量下传递薄膜应力载荷和弯曲应力载荷以及稳定性损失关系重大的情形中。

三明治板

图1-2-19三明治板

a)蜂窝芯和泡沫芯b)波纹芯

    为了简化起见,在下面的研究中,假设覆盖层材料行为是各向同性、线弹性的,形芯行为是线弹性的,覆盖层和形芯之间的连接是理想的。在中心平面方向上形芯层的抗弯刚度和抗张刚度忽略不计;另假设覆盖层非常薄,则覆盖层的抗弯刚度和横向抗剪刚度也可以忽略不计。这样一来,整体弯曲力矩和薄膜截面力只通过薄膜力传递到覆盖层,横向力只通过剪图1220三明治桁梁的变形行为图示
    切传递到形芯。不过,必须考虑到形芯的剪切变形,这就是说,用于桁梁的伯努利(Bernoulli)假设和用于平板与壳的基尔霍夫(Kirchhoff)假设不再有效。在某些情况下,由于横向剪切变形,会产生无法预料的变形(图1-2-20)。
    在评估三明治结构形式的承载能力时,要注意以下的失效形式:由较高的薄膜应力导致的覆盖层的塑性化或者断裂,由较高的剪切应力导致的形芯的失效(在45度角以下发生形芯断裂),形芯与覆盖层之间连接的失效,力导入位置的局部失效,各种形式的整体与局部稳定性损失。
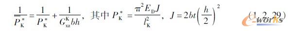
在确定三明治杆和三明治板的压弯临界载荷以及凸起临界载荷时,要考虑到横向剪切挠性。与经典的欧拉情形相比,这里得出的载荷临界值要小,参见方程式(1-2-19)。由方程式(1-2-19)有GAS→GKxzbh,压弯载荷P*K可由下式求出:

公式

    以此类推可以得出,在同样的抗弯刚度下,由于存在剪切挠性,三明治板和三明治壳的凸起临界载荷要小于均质板和均质壳的凸起临界载荷,具体内容可参见参考文献[18,25]。
   在由整体压应力载荷或者弯曲应力载荷导致的薄膜压应力作用下,覆盖层的局部不稳定形式可能是凸起或者短波状皱褶。按照参考文献[25],如果各向同性的材料具有足够的厚度,则由皱褶引起的覆盖层上的临界薄膜压应力可采用以下公式加以保守估算(详细内容参见参考文献[26,27]):

公式

    这里要注意的是,在结构化形芯和覆盖层非常薄的情况下,在产生皱褶之前,就会出现“波纹”(覆盖层按照形芯单元产生周期性凸起),具体内容参见参考文献[26、28]。
关于三明治结构的进一步研究可参见参考文献[1、3、29]。
    2层合结构—简单层合理论
    轻量化平板结构和轻量化壳结构越来越多地采用多种多样的上下叠加、相互连接的层(本身绝大多数就是由复合材料构成的)来构造。采用这种方法得出的结构形式所覆盖的性能范围极其广泛。
下面对层合理论(具体内容可参见参考文献[4、17])作一粗略的简要介绍。首先须假设:基尔霍夫假设有效(薄层合板);在很多非常薄的层的每一个单层中,在整个单一层厚度上的应力状态都是恒定的;由各向异性层构成的复合物,其材料数据(由此可以确定弹性基体iEL,该基体以所考察的第i层的材料轴l、q为基点)、厚度、对某一基准面的距离、对应于某一已确定的层合坐标系的材料轴方向都是已知的;壳内力变量(薄膜力、单位长度的弯曲力矩和扭转力矩)是已知的,或者可根据载荷计算出来(在引入壳的有效刚度下,内部静态不确定系的情形)。图1-2-21所示为一个层合板壳任一位置上的截面图,需要考察该位置上复合材料的强度。

壳内力变量(左)、层合构造(中)与在整体x-y坐标系和局部l-q坐标系内受压的层应力张量(右)

图1-2-21壳内力变量(左)、层合构造(中)与在整体x-y坐标系和局部l-q坐标系内受压的层应力张量(右)

公式

    考虑到基体A,B和D的意义,在22节中阐述了非对称层合构造的缺点。
    以单一层相应的材料轴为基准,根据由层材料数据确定的弹性基体iEL,可通过以下旋转变换得出基于公共层合结构坐标系单一层材料的弹性基体iE:

公式

    对应于整体层合结构坐标系,与局部层坐标系的扭转角iα相关的基体iT可由下式给出:

公式

    现在将这个基于层合坐标系的层扭曲状态转换到层坐标系上,采用层材料法则可计算出局部层应力:

公式

    矢量iσL包括了在材料轴方向上的法向应力iσll、iσqq和剪应力iσlq。采用这种方法计算出的层应力,通过引入失效标准,可以检测在所考察的板壳点上的层i是否能够承受该点的主要应力载荷。为了明确该失效标准的基本特征,可采用非常简单的、但不是特别准确的失效标准—TsaiHill标准:

公式

式中,iX为单轴拉载荷或者压载荷(根据iσll前面的符号)下,在纤维方向(即:l方向)上第i层的失效应力;iY为在q方向上相应的失效拉应力或者失效压应力;iS为第i层材料的抗剪强度。更好的失效标准参见参考文献[30]。
    如果在结构某一层的一个位置上发生了失效,即达到了“第一层失效”(FPFFirst Ply Failure),则当载荷进一步上升时,刚度会发生变化,系统表现出非线性行为。对于这里介绍的方法,其前提条件是:载荷很小,在每个位置上都没有出现层失效。还需要进一步指出的是,除了上面描述的层失效外,还有层内失效、分层(特别是由于边界效应)等其他的失效形式,对于这些失效形式这里没有提及,与此相关的内容可见专业参考文献[31]~[33]。
    1.2.5轻量化设计原则
    在第1章的引言中已经提到,在按照轻量化标准进行结构设计的时候,要选择合适的材料和计算方法,还要考虑到经济与生态的要求,产品使用的舒适性、可维护性和可修复性的要求以及产品的美观等,这些要求需要采用基本的设计理念来加以实现。
下面给出一些重要的轻量化设计要点:
    ●尽量将外载荷直接导入支座、支柱、肋骨或者相应的载荷引导结构(如三明治板壳中的内插件)。
    ●力的转移尽量通过水平的或者平直的张紧部件进行(由于翘曲会产生弯曲力矩,即使是在轴向力作用下翘曲很弱的杆也需要用实心横截面为直杆)。
    ●在需要抗扭刚度和抗扭强度的地方,务必采用薄壁闭口横截面(多个单元),不要用开口横截面。

通过垂直于压力方向的翘曲来提高凸起安全性

图1-2-22通过垂直于压力方向的翘曲来提高凸起安全性

    ●对于压力传递来说,要防止凸起,采用翘曲板材比采用水平板材的效果更好(图1-2-22)。
    ●可采用压槽显著提高平面薄壁结构的局部抗弯刚度(以及由此增加的抵抗凸起的阻力)(图1223)。

不同的压槽的形状(源自参考文献[2])

图1-2-不同的压槽的形状(源自参考文献[2])

    ●通过卷边或者类似的方式来提高自由边界的刚度(对于开口和通道也是这样)(图1-2-24)。

加固自由边界的不同方法(源自参考文献[2])

图1-2-24加固自由边界的不同方法(源自参考文献[2])

    ●开口和通道尽量位于载荷很小的区域。
    ●通过圆整来避免应力集中(与真正的应力奇点),在加强肋终端构造中也要注意到这一点。

图1-2-25

a)实心矩形横截面b)箱形矩形横截面c)三明治桁梁的矩形横截面d)实心圆形横截面e)空心圆形横截面f)泡沫芯的薄壁圆形横截面。参见参考文献[2]

    ●采用相应的形状来实现材料的有效利用。例如,在弯曲支撑中,尽量将材料集中于远离中性轴的地方(图1-2-25),这里还要考虑整体倾斜的可能性以及薄壁高腹板产生凸起的风险。

矩形区域内横截面的品质系数,参见参考文献[4]

图1-2-26矩形区域内横截面的品质系数,参见参考文献[4]

    在一个b×h的矩形区域中,横截面的品质系数ηW标识了横截面的效率,这意味着在小的横截面面积A下高的阻力矩W,即ηW~WA。由此可得出图1-2-26中所示的公式的内在关系。
    ●在提高平面状结构(薄板或薄壳)的凸起安全时要注意,可以通过安装支柱使得“凸起场”保持在很小的值,但是支柱的抗弯刚度和抗扭刚度可能会正好大到可以诱发出凸起轮廓上的节点线。另一方面,杆结构的格栅形状对剪切应力载荷比较敏感,因此,在结构上加上一层“皮”非常有好处,它可以承受(由横向力或者扭转造成的)剪力。图1-2-27和图1-2-28显示了这两种加固效果。

27

图1-2-27
a)框架结构形式b)通过对角杆增加抗剪刚度c)通过剪场增加抗剪刚度。由支柱格栅和“皮”组合的抗剪壁桁梁结构具有很高的凸起稳定性
28

图1-2-28通过a)“皮”和由b)纵梁与c)肋骨组成的支柱

格栅组合成的d)具有高凸起稳定性的抗剪壳结构

    ●有效利用材料,但是要根据相应位置的局部应力载荷情况(材料复合物:比较“拼焊板”、三明治结构、多材料构件)或者根据位置和方向(复合材料)变化来有效利用材料的性能(图1-2-29)。

29

图1-2-29承载面的横截面图。主大梁的黑色带表示,在这一高负载区域

采用了碳纤维增强塑料,三明治芯则用来加固薄壁蒙皮和主大梁腹板

    ●当然,以上措施的组合使用也会达到高效利用材料的目的。例如,在三明治结构中采用复合材料覆盖板。
    ●薄壁空心型材如果采用具有足够刚度的、较轻的泡沫填充,会增加抵抗局部不稳定的安全性和能量吸收能力(参见参考文献[34]与图1-2-30)。

30

图1-2-30

a)改善薄壁空心型材稳定性安全b)应用:Zeppelin NT上的桁梁节点

    ●有目的地达到自应力状态可以提高强度和刚度,从而可以承受更高的凸起载荷或者自频率变化[35]。
    ●在载荷导入位置和构件连接设计时要特别谨慎(参见参考文献[2])。
    轻量化中的基本构造方式有差动构造和整体构造。两种构造都有其使用范围,按照应用情形都有各自的优缺点。在差动构造中,结构由单个(常常是很多的)单一件通过连接技术组合在一起;而在整体构造中,构件或者整个结构尽量采用一个构件来制造(图1-2-31)。

采用加强肋来加固平板

图1-2-31采用加强肋来加固平板

a)~c)闭口型材d)、e)开口型材f)整体三明治构造g)~i)挤压工艺加工出的加强肋

    差动构造的优点在于,(在避免化学或者热不匹配性的情况下)可以将不同的材料(如“拼焊板”)相互连接在一起,并且可以采用非常薄的板材。这样,可以在维护或者修理时比较容易更换损坏的零件,而且可以采用不同的半成品。其缺点则是,连接处通常也是临界位置所在,而且按照连接方式的不同,会在结构中带来附加的重量(如螺栓连接的情形)。
    整体构造则没有差动构造中所提到的缺点,但是也失去了差动构造中的优点,如容易维修、可采用非常薄的半成品(板材、型材等)等优点。
    图1-2-32中以轿车车身为例,给出了典型的差动构造和整体构造示意图。在图1-2-32a中是车身差动构造截面图,可以看到车身是由板材(部分带有压槽)组成的。在图1-2-32b中是一个构件制造出来的赛车驾驶室,采用碳纤维增强塑料,用整体构造加工出来的单壳体车身。

80

图1-2-32

a)奥迪TT车身差动构造示例b)采用整体纤维复合构造的赛车驾驶室

    图1-2-33所示为采用差动构造方式的一个飞机机翼的横向骨架。在这个示例中实现了上面提到的轻量化设计原理:通过在较少承载的位置去除材料(通孔)来降低重量,采用边界加固和压槽提高了刚度,采用帽形型材的纵向支柱与机翼皮一起构成了封闭的抗扭横截面。
    图1-2-33在承载机翼鼻上,采用差动构造方式,并运用各种加固方法
    1.2.6轻量化设计优化
    在前面的章节中,介绍了用于轻量化设计的一般原则。在某些结构中,如大飞机的机身,由于存在与比例相适应的简单基本几何形状和载荷情形,可以直接采用经典的轻量化构造,如正交各向异性加固的圆柱壳(图1-2-28)。
    如果设计人员必须在不超过最大允许构件质量的条件下实现对复杂构件的高性能要求,则通常很难直接得出最佳的结构方案或者几何尺寸。在这种情况下,采用优化方法会非常有帮助。
    优化任务要求明确优化目标,确定达到这个目标可以使用的方法,即优化参数的定义、描述要满足的约束条件,可以将这些条件整理成等式或者不等式。
    从轻量化的角度来看,对于很多问题的处理实质就是将质量最小化作为目标函数(在满足要求的情况下,需要整理成约束条件),或者是在考虑到所有重要的失效形式下选择最大的可承受载荷(在某一约束条件下确定的质量)。
    在定义了优化目标后,需要选择适当的优化策略。策略的选择取决于设计人员在设计中所拥有的在造型、材料选择和材料加工方面的自由度。
    ●拓扑优化:如果在造型上有很大的自由度,则可以借助拓扑优化方法在设计空间内对材料进行适当分配,以便于在设计空间内或者借助设计空间来传导载荷。采用拓扑优化方法可以在设计空间内设置适当的孔、间隙和肋的位置。
    ●形状优化:如果一个拓扑方式是已知的,或者由于制造方法的原因必须采用这样的拓扑方式,依然可以对构件的形状加以改变,例如:借助形状优化方法。
    ●参数优化:如果准确地规定了结构原则,则只能通过改变几个主要尺寸(或者其他特征值)来进行优化,称之为参数优化。
    一个特殊的情形是离散优化问题,在这样的问题中所标识的参数不能稳定地改变,而是必须从有限的数量中提取出一定的值,有点类似于从标准半成品目录中提取出产品来。
    ●材料优化:有的时候可以通过拓扑方式影响到材料的局部结构,类似于在复合材料中通过纤维方向和纤维体积分量的变化来施加影响。由此可以采取材料优化方法来降低重量。
在图1-2-34中,上面所描述的优化策略按顺序应用到参考文献[36]中所研究的一个同类优化问题中。图1-2-34a所示为有一个孔的二次幂设计空间,在孔上作用着两个力F1和F2。图1-2-34b显示,在这种情形下的“优化”拓扑结构由双杆组成。在所考察的拓扑结构上采用了形状优化算法,则根据图1-2-34c,优化结果会发生改变。在采用纤维增强材料的情况下,可以将局部纤维体积分量作为场变量。将其代入优化过程,则可以得出图1-2-34d的结果。其中,纤维体积分量较高的区域更亮一些。如果最终还能控制材料的方向,也可以对方向进行优化,如图1-2-34e、f所示。重复过程c~f,则还可以进一步对优化加以改善。

基于有限元方法设计优化的各个阶段

图1-2-34基于有限元方法设计优化的各个阶段

a)带有载荷的设计空间b)通过拓扑优化c)通过形状优化d)通过局部密度优化e)、f)通过材料方向优化(源自参考文献[36])

    在开始规划优化任务时,通常希望能提高与质量有关的结构的刚度和强度。刚度与动态振动行为有直接的关系,如果按照静态标准进行优化,则在提高固有频率框架内得到的结果可能会与预期的结果有差别。
    用来优化比质量刚度的算法通常会遇到一个基本问题:即拓扑结构优化强烈依赖于网格化,而通过提高优化方法的空间分辨率可以得出更精细分割的结构。这个问题是数学公式化自然造成的,可采用各种方法来解决,如过滤器技术、材料微观结构仿真等。该问题的另一个表现形式是:刚度优化通常会导致离散的、尖锐边界的结构。当所采用的材料(如金属泡沫)允许密度梯度存在时,材料自身也会造成这样的现象。在进行强度优化时,如参考文献[37]中所显示结果,最终会得出带有很大密度梯度的结构(图1-2-35)。

强度优化示例:通过逐渐改变泡沫密度来优化一个泡沫金属桁梁的强度

图1-2-35强度优化示例:通过逐渐改变泡沫密度来优化一个泡沫金属桁梁的强度

    在对非常薄的或者细长的构件进行刚度优化时要注意,忽略几何形状的非线性会导致错误的结果。这是因为像吊桥那样的结构,直到在下垂的状态下才能发挥出全部的刚度,否则的话,这种结构与弯曲占主导的结构相比就没有优势了。
    同样,与刚度有关的还有由压弯或者凸起等不稳定形式造成的对结构承载能力的限制。如果在纯强度导向的优化框架内不考虑这一点,则可能会导致优化结构由于稳定性损失造成失效,尽管这时候材料的承载能力还没有完全发挥出来。图1-2-36显示了瓦楞纸板的参数优化结果。在保持针对整体和局部凸起最低安全的同时,通过优化将瓦楞纸板的面积重量最小化[38]。示例表明,借助半分析“原始优化”方法,将对各种失效形式的临界载荷等同于优化标准,其结果与数值仿真结果非常接近,至少可以得出局部优化结果。在这一内在关系中必须要注意,采用这样简单的表达式会得出对缺陷敏感的结构。

形状优化示例

图1-2-36形状优化示例:将瓦楞纸板波纹的比面积重量最小化,同时保持

针对整体和局部凸起的最低安全性(见参考文献[38])

    实际上,在鲁棒性观点下的优化,即在对几何形状、材料行为或者载荷的小的变化(干扰、缺陷)不敏感情形下的优化是一个非常活跃的研究领域。
    同样绝对值得关注的还有纤维增强复合材料结构优化方法的发展。由于自由的参数多种多样(如:层合厚度、层数量、层角度),通常对纤维增强复合材料结构设计中遇到的优化问题很难进行处理。目前应用比较成功的方法有随机方法,如进化算法。
    可以期待的是,随着对优化程序操作使用方法的不断简化,这种方法会越来越多地用于轻量化结构形式的设计中。
参考文献