第一章 轻量化原理

第三节 构件失效

    在构件的开发过程中,通常希望能实现重量最小化,这就要求在考察构件寿命以及计算和实验过程中采用仿真的方法。本节中将介绍关于应力评估的基础知识、材料周期强度的计算方法以及通过分类来整理载荷数据的方法。从与构件相关的数据出发,介绍了损伤与寿命计算的概念。构件中的周期强度性能与众多边界条件相关,如加工过程或者自应力。作为示例,本节还研究了在自由成形的几何形状和无规律的应力变化过程中各种边界条件对强度的影响。
    采用本节中所列举的方法,开发人员可以在试样实验的基础上对复杂构件的寿命加以评估,并可在使用最少的材料与最小的重量的情形下得出安全的几何设计参数。
1.3.1引言
    对新产品的开发通常会有很多要求,如产品要设计得更轻、可靠性要更高、成本要降到最低,同时还要缩短产品开发的时间,以便于将新的产品更快地推向市场。构件尺寸设计要满足最低的寿命和相应的可靠性要求。实现这些设计要求的方法是结构强度计算方法。通过在计算和试验阶段采用仿真,结构强度方法可以明显地缩短产品开发的时间。在机械制造中,各种原因都会造成构件的失效:
    ●由于过载折断导致的断裂。
    ●疲劳。
    ●非允许的变形。
    ●不稳定(蠕变、凸起)。
    ●磨损。
    ●腐蚀。
    在机械制造中,构件很少会由于静态过载应力而发生失效。绝大多数的破坏都是由周期性作用力引起的,这些力会导致材料的疲劳,而疲劳则可能会导致破坏。结构强度研究的主要目的是对承受周期性负载的构件、系统和设备进行测量与评估,该方法是轻量化设计和构件优化设计的一个重要组成部分。基于结构强度测定,对构件按照规定的使用寿命进行尺寸设计,可确保构件在周期性载荷下不会发生失效[1]。
    为了在要求的使用寿命内对构件进行尺寸设计,需要具备关于构件的功能及实现这些功能需要满足的使用条件方面的知识,这些功能和条件通过构件的应力或应变以及材料的行为来表征。对结构强度设计的任务要求主要有:
    ●使用新的和/或成本更低的材料。
    ●使用新的制造技术。
    ●几何尺寸的优化。
    ●重量最小化。
    1.3.2疲劳过程
    当试样或者构件所承受的振动应力载荷超出临界载荷时,会在试样或者构件中产生塑性变形。塑性变形首先在微观区域,然后在宏观区域萌生裂纹,裂纹持续增大,最终会产生不稳定的残余断口。从金属物理学的角度看,这个过程就是位错的形成和移动的过程。这种位错的形成和移动影响到了裂纹萌生阶段和裂纹扩展阶段[2]。根据应力载荷大小、载荷类型与构件的几何形状,在相应的裂纹扩展阶段会形成不同的断面:在周期疲劳区域为带有精细结构断面的复原线,残余断口绝大多数时候则显示出了粗糙结构的断面(见书后彩图1-3-1)。
    疲劳过程包括裂纹萌生、稳定的裂纹扩展和不稳定的残余断口(图1-3-2)。在整个寿命周期内,裂纹萌生和稳定裂纹扩展所占的时间比例是不同的,其大小取决于载荷、几何形状和材料。这样就出现了一个问题,即如何定义裂纹:在绝大多数的工程领域中,当裂缝长度为1mm时即为裂纹。裂纹的寿命周期通过结构强度试验来加以确定,裂纹扩展则依据工程断裂力学理论来进行研究。

疲劳过程的各个阶段

图1-3-2疲劳过程的各个阶段

1.3.3名义应力与实际应力
    在一个结构横截面上的名义应力是由以构件横截面为基准的外载荷、外力或外力矩引起的应力。名义应力可采用材料力学中的基本方程进行计算[3]。在拉压应力载荷作用下,名义应力均匀分布在构件的整个横截面上;而在弯曲和扭转载荷作用下,名义应力则在外边缘纤维上有最大值(图1-3-3)。

应力载荷类型

图1-3-3应力载荷类型
缺口拉伸试棒上的应力变化曲线

图1-3-4缺口拉伸试棒上的应力变化曲线

    名义应力的变化描述了理想的应力分布,这样的应力分布状态在实际的构件中很少出现。实际中,只有很少的构件具有规则的几何形状,并在横截面上有均匀的应力分布。在绝大多数情况下,孔、缺口、横截面过渡或者在某个点上力的导入都会引起不规则的应力分布。这种不规则性会在应力变化过程中产生干扰,从而削弱构件的强度。缺口对动态负载构件的影响与振动次数有关:在较高振动循环次数下,缺口对构件强度削弱的程度要比在较低振动循环次数下对构件强度削弱的程度要高。在图1-3-4的示例中,通过缺口来提高缺口拉伸试样的应力。除了由于造型引起的应力集中外,制造过程(如焊接、铸造或者切削)以及材料均匀性、裂纹或气孔,都可能会导致缺口的形成。
    缺口会造成名义应力上升,因为缺口减小了剩余面积。缺口周围不规则的应力变化(图134)会在缺口根部导致应力进一步上升。对于几何形状简单的物体,应力σ的增加可以用名义应力S和缺口数Kt来描述:

公式

    除了几何形状,载荷类型对局部应力增加也有影响。如图1-3-5中的示例,对具有相同几何形状的缺口试棒,根据载荷类型不同,缺口数Kt的差别非常大。

在基本拉、压、扭转应力载荷作用下的应力分布和形数

图1-3-5在基本拉、压、扭转应力载荷作用下的应力分布和形数

    对于最重要的缺口几何形状与尺寸,可以从相应的图表中得出形数或者采用近似公式来计算形数[4]。比例关系r/d对形数Kt有很大的影响。如果假设给定一个结构的d,则首先可由缺口半径r确定Kt。一般来说,缺口半径越小,则在缺口上应力过高程度越大,Kt就越大。如果要保持外部平衡,则须满足:

公式

    缺口数Kt与载荷大小(在弹性区域内)、材料(只要是均质材料)以及构件的尺寸无关。对于几何形状复杂的构件,通常无法给出缺口数,这是因为在绝大多数情况下(例如受局部力影响)无法定义名义横截面,而且应力变化曲线也是不规则的。
    在这种情况下,可以采用有限元计算方法或者试验测试方法来求出局部应力。
1.3.4材料行为与额定参数
    1静态应力载荷

    材料的静态行为可通过拉伸试验求出,并用应力—应变曲线来描述(图1.3.6)。绝大多数材料都表现出以下的行为特征:在第一阶段接近线弹性σε变化,从屈服强度开始发生具有变形强化的塑性变形,最终导致断裂。材料种类与合金成分对每个阶段的影响都不一样,例如:脆性材料从塑性变形到断裂的阶段就很短。

拉伸试验得出的应力—应变行为曲线

图1.3.6拉伸试验得出的应力—应变行为曲线

    在σ-ε曲线中的第一个阶段,材料显示出弹性行为,可用胡克定律来描述。其中,E为弹性模量(E模数)。在线弹性有限元计算中,采用弹性模量来描述材料的刚度:

    2周期性应力应变行为
    如果在拉伸试验中,一个试样在塑性区域内重复加载,但是不断裂,然后卸载,在受压区域承受应力载荷,则σ-ε曲线就形成一个回路(图1-3-7)。这一过程可分为弹性区域和塑性区域来加以描述:

周期性应力—应变图表

图1-3-7周期性应力—应变图表

    周期性应力—应变曲线过程通常随着周期数的增加显示出变化的过程。如果以相同的应力重复加载,则随着循环次数的增加,应变会增大或者减小。如果应变随着载荷循环次数增加而变大,可称之为材料弱化;反之,则称之为材料强化(图1-3-8)。有些材料倾向于弱化(如冷成型材料),有些材料倾向于强化(如不变形材料或者回收材料)。也有些材料,随着周期数增加,材料行为发生变化,即开始的时候发生材料强化,后来则发生材料弱化,或者反过来。如果不是保持应力幅值不变,而是保持应变幅值不变,则材料的行为也是类似的。在这种情况下,应力随着周期数的增加而改变。如果在试验中保持应力恒定,则称之为应力控制试验;如果保持应变恒定,则称之为应变控制试验。

周期性载荷下的弱化与强化
图1-3-8周期性载荷下的弱化与强化 

    3抗振强度
    抗振强度可以理解为在周期性应力载荷作用下材料的强度。与静态强度相比,抗振强度较小,但是在实际中的意义更重要,因为更多的构件发生失效是由于承受了周期性载荷而非静态载荷。尽管如此,对于承受周期性载荷的构件强度意义重要性的认识相对比较晚,直到十九世纪才在这方面进行了第一次系统的研究。
    振动载荷是由在基本静态载荷上叠加的机械载荷或者热载荷引起的。例如一辆载货汽车,车架承受车的自重,通过装货或者卸货,载荷发生准静态变化。在这一静态载荷基础上,货车在行驶过程中还会产生周期性外力。这些外力可以是由驾驶方式造成的,如制动、加速或者曲线行驶;也可以是由环境条件造成的,如行车路面的不平度或者风力;发动机和变速器的谐振、加油或者备胎也都会带来额外的载荷。周期性载荷会使材料产生疲劳,在过应力载荷情形下会导致裂纹萌生,随后是裂纹扩展,最终导致构件失效。
    沃勒线如果用最小载荷对构件进行周期性加载,则构件在一定的载荷循环周期后会发生断裂失效。随着振动幅度上升,构件可承受的振动次数减少。当振动幅度低于一个确定的值时,则可以任意施加周期性载荷,而构件不会发生断裂。奥古斯特·沃勒(1819—1914)第一次研究总结了材料的这一强度行为。通过以他的名字命名的沃勒试验,在正弦形载荷变化过程和应力幅值恒定的情况下,可以确定材料的持久强度行为和疲劳强度。如果用应力水平和可承受的载荷循环周期来描述试验结果,则可以得出图1-3-9中所示的强度特征行为曲线。

按线性比例缩放的沃勒图

图1-3-9按线性比例缩放的沃勒图
双对数表示的沃勒图

图1-3-10双对数表示的沃勒图、长期强度区域界限(L)、

持久强度(Z)与短期强度(K)

    如果采用双对数方式来描述试验结果,则可以采用直线段的方式来表示结果(图1-3-10)。在载荷交变区域,直至数百万次载荷变化,为持久强度曲线;在此之外的载荷变化区域则是疲劳强度曲线和长期强度曲线。
    沃勒线的直线斜率不仅与材料有关,也与温度、应力载荷类型、缺口形状等因素的影响有关。对于某些材料,例如铁素体钢,长期强度阶段在沃勒图中表现为水平直线。在这种情形下,可称之为疲劳强度,材料可以承受的振动循环次数为无限大,也就是说,在该载荷以下不会发生断裂。不过,新的研究表明,即使是低于这个极限,在很高的载荷循环次数下,还是会发生疲劳断裂[5]。对某些材料来说(如铝合金),沃勒线在长期强度区域明显下降,下降程度用斜率k2来表示。用以下四个参数就可以描绘出沃勒图:
参数

 

    在短期强度区域,沃勒图被限制在出现宏观塑性应变的区域内。应力沃勒线不适用于在短期强度区域内描述强度行为,采用应变沃勒线可以更好地对这些区域加以描述[1]。
1.3.5比较应力假设
    在实验室中通过试验得出的强度值只适用于给定载荷条件下(多为拉或弯曲)的检测状态。在多轴应力载荷情况下,需要考虑从试验中提取哪些值用来进行评估。为了可以在多轴应力载荷作用的情形下近似地描述失效标准,研究人员提出了各种假设。由这些假设导出的比较应力σv可用于在检测中与相应的材料特征值进行评估比较[6]。强度假设最初是为研究静态失效而开发出来的,不过现在也用于周期性载荷的失效评估。
    1法向应力假设
    在这一假设中,最大主法向应力是断裂的决定性因素。当最大主法向应力达到断裂强度Rm时,材料发生断裂。断裂与剪应力大小没有关系(图1-3-11)。该假设主要用在脆性材料领域,失效条件为:

公式
比较应力假设

图1-3-11莫尔表示的法向应力假设

    2切向应力假设
    根据Tresca剪应力假设,当最大剪应力τmax达到临界值,即屈服剪应力τF时,失效发生。τmax为最大主法向应力和最小主法向应力之差:

公式

屈服剪应力τF可通过扭转试验或者拉伸试验得出。在拉伸试验中,采用屈服极限Re,因为Re标识了线弹性材料行为的终结,从而描述了由屈服导致的失效。屈服剪应力τF可表示为:

公式

在剪应力假设中,法向应力值的大小对强度评估没有意义(图1-3-12)。失效标准为:

公式

莫尔表示的剪应力假设

图1-3-12莫尔表示的剪应力假设
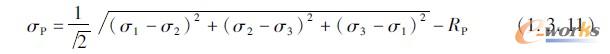
    3形变能假说
    在形状改变假说或者Mises比较应力中,当形变能超过极限值时,失效发生。流体静力学应力分量描述了在所有空间方向上大小相同的应力分量,它对比较应力没有影响,所以也与失效无关。该假设用于韧性材料领域,是使用得最多的比较应力假设:

公式

    4多轴应力载荷的其他评估标准
    引证比较应力假设描述了在具有多轴应力状态的单轴载荷或者多轴同步载荷作用下产生的失效。多轴载荷的出现通常没有规律性,在这种情形下,用于失效评估的比较应力计算要复杂得多[7]。
    1.3.6应力载荷—时间变化曲线
    构件在使用过程中会或多或少无规律地承受载荷。载荷产生的原因或为使用功能的关系,或者是受到周围环境的影响,或者是自振行为,或者源于错误使用。对这些载荷的认知是计算构件寿命的前提。要求出载荷变化曲线,可采用试验方法或者数值计算方法。在试验方法中,通常采用应变测试条(DMS应力计技术)测量应变来求出载荷,测量出的应变表示了阻力变化[8]。通过应变测试条在构件上相应的位置分布,可以计算出拉力、弯曲力矩或扭转力矩,并得出时间变化曲线。时间变化曲线可作为载荷分类的初始条件,载荷分类则可用于寿命计算。
    除了试验方法之外,还可以采用动态行为仿真来求解实际应力载荷。为此,可以采用多体仿真(MKS)或者有限元仿真(FEM)[9],其结果同样可以用于分级。与测量的结果相比,仿真结果的精确度要低一些。不过,可以通过边界条件的改变来模拟简单的变量。不管是采用试验的方法,还是采用仿真的方法,最后得出的结果是载荷时间变化曲线(图1-3-13)。

应力载荷时间变化曲线

图1-3-13应力载荷时间变化曲线

    在图1-3-13中可以看到,动态力通常是无规律变化的,无法只用一个幅值和平均应力来表示。要描述这一应力载荷—时间变化曲线,可以将这些力分割在单一的振动周期中,而这些振动周期可用简单的特征值来描述(图1-3-14)。对于抗振强度来说,应力幅值和平均应力对应于基准线的位置很重要,二者可以由应力比例关系得出:

公式

应力载荷时间变化曲线.

图1-3-14振动周期的特征值

    振幅将基准线切割开的应力载荷称为交变应力载荷,没有切割到基准线的应力载荷变化过程称为脉动应力载荷。应力比R=-1、对应于基准线特殊位置的振动载荷为交变应力载荷,应力比R=0的振动载荷为脉动应力载荷(图1-3-15)。

各种平均应力

图1-3-15各种平均应力

    1应力载荷—时间曲线的分级
    对一个载荷—时间曲线的静态评估可称之为分级。分级的意思是在数值区域(级)将一个类似载荷时间变化过程曲线可计数的特征进行划分。这些特征按每个级计数,并以载荷集的形式表示出来。在对这些特征进行分级之前,必须先对这些特征加以定义。在结构强度中,有下列特征:
●峰值计数:载荷F到达了一个止点(最大值或最小值)(图1-3-16)。

峰值计数:级频率与总和频率

图1-3-16峰值计数:级频率与总和频率

●区域计数:载荷F包括了在一个最小值及其随后出现的最大值之间的一个区域(正区域),或者相反(负区域)(图1-3-17)。
●级边界超出计数:载荷F或者向上(正向)或者向下(负向)超出了给定的级界限(图1-3-18)。
绝大多数的分级方法都可以归结为以上这三种基本类型。为了将大量数据的频率分布可视化,通常采用以下两种方式来表示分级结果(图1-3-16~图1-3-18):
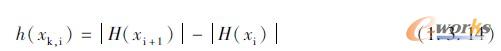
●直方图:标识在一个级h(xk,i)中的频率,需要对在级界限xi和xi+1之间的值进行计数。h(xk,i)称为级频率,级中心xk,i定义为:

公式

●总和频率:总和频率H(xi)是对在级界限xi之上x所有值的计数。级频率和总和频率的关系为:

公式

    表达式结果为总和频率曲线。在曲线中H(xi)和xi的单个值偶在第一阶近似中通过直线连接起来。

区域计数:级频率与总和频率

图1-3-17区域计数:级频率与总和频率
边界超出计数:级频率与总和频率

图1-3-18级边界超出计数:级频率与总和频率

    2通过计数还原信息内容
    与类比表达式相比,分级和计数方法不仅大大减少了数据量,而且还形成了用于寿命计算的基础。不过也必须考虑到数据减少带来的缺点,因为下列关于载荷历史的信息丢失了:
    ●峰值或者区域的时间变化过程,以及由此得出的顺序无法再由载荷集重新构建了,因为只计数了这些信息的高度和频率。
    ●载荷集不包括任何关于载荷频率和单一振动周期的时间性变化过程曲线,例如正弦形曲线或者三角形曲线。
    ●因为只计数了达到上限值或者下限值的次数,由频率分布无法得出平均应力和应力幅值。
    ●为了弥补分级方法的最后一个缺陷,可以采用“雨流(Rainflow)分级法”。该方法是二维方法。在该方法中,将分级结果放入一个矩阵中,这样可以重构振幅及其平均应力[10]。
1.3.7结构强度—寿命计算
    很多工程上使用的构件承受具有恒定或者变化振幅的周期性载荷。构件失效的主要原因在于这种动态应力载荷所导致的材料疲劳。结构强度研究的目标,是对构件进行设计,既要在最低寿命期间内不发生失效,也要尽可能减少材料的使用以降低结构的重量。基本上,考虑到寿命周期的构件设计方法有两种:
    ●通过试验方法设计:在这种方法中,从第一个变量出发,对样件施加预期的载荷。如果没有达到要求的寿命,通过修改设计制作一个新的样件,然后再重新施加试验载荷。这个过程可以一直重复,直到达到要求的规格。采用这种方法可以非常好地掌握一个结构形式的弱点。由于在超出几何尺寸的位置看不到损伤,这些位置也不用显示出来。
    ●通过仿真方法设计:在应力、材料行为知识和载荷集的基础上进行寿命计算。对于没有达到寿命要求的构件部位,通过改变几何形状或者材料来加强。通过去除承载很少的区域的材料,可以降低构件的重量。
    第二种方法通过仿真进行设计,有着非常明显的优点。由于在构件开发的早期阶段就可以采用该方法,因此可节省大量的时间和费用。不过,这种方法在寿命计算的精度方面要低于试验方法。在批量化产品的开发过程中,在第一阶段采用计算仿真;而在开发快结束的阶段,采用试验方法来确保产品设计安全。
    1计算方法
    可以用于寿命计算的方法有很多,主要分为三种:基于应力的寿命计算、基于应变的寿命计算、基于裂纹扩展的寿命计算。
    (1)基于应力的寿命计算寿命评估基于沃勒线和在构件中出现的应力。基于应力的寿命计算方法的主要应用对象是应力载荷在材料宏观线弹性区域的构件。该方法最初用于名义应力计算,之后扩展到了基于局部应力的计算中(见书后彩图1-3-19)。该方法与有限元方法组合使用,可用于复杂几何形状构件的计算[11]。由于采用局部应力作为比较值,所以必须将应力与材料的局部强度性能进行比较。在试验中,基于成本和时间的原因,局部强度性能只能取点测量,而在仿真中则可以在沃勒线上进行计算。
    作为名义应力和局部应力概念的组合,结构应力寿命计算方法主要用于焊接结构的寿命计算。在有限元计算中,不对焊缝细化,即不考虑焊缝产生的局部影响,而是通过将结构整体模块化来计算应力(“结构应力”)。对焊缝应力的有限元计算应当在结构应力计算步骤之后进行,与焊缝类型和形状有关的传递系数也应当加以计算,然后再代入寿命计算中去[12]。
    (2)基于应变的寿命计算在这一寿命计算方法中,失效标准是缺口根部的局部应变。寿命比例关系用从应变控制试验中得到的应变沃勒线来加以描述。由于涉及塑性,与基于应力的计算方法比较,基于局部应变的计算方法更费时。除了应变沃勒线外,还需要周期性应力—应变图。不过,在对承受低周应力载荷和产生宏观塑性变形的构件进行寿命计算时,这种方法具有明显的优点。
    (3)基于裂纹扩展的寿命计算该方法从已有的裂纹或者缺陷位置出发,通过直至构件断裂的裂纹扩展来计算剩余寿命。
    2累积损伤
    实际中,动态载荷的振幅通常不是恒定的,而是变化的,并且频率不同,顺序也是不确定的。在周期性应力载荷下产生的损伤是由于晶体缺陷的形成和运动导致的。目前对这些因素还不能加以量化,因此有必要采用经验模型。研究人员在过去的几十年里提出了数量众多的假设。Palmgren和Miner提出的假设是最古老的、也是实际使用最多的假设之一[1]。如同其他模型一样,该模型集中对以下两个现象进行描述:
    通过数量为ni、振幅为σi的振动周期会产生附加的损伤Di,该损伤可由振幅自身以及在本次振动周期之前的载荷加以确定。
    单一损伤累积会导致整体损伤D,使得构件在达到临界损伤值Dc时发生失效。
    (1)PalmgrenMiner方法它是迄今为止使用最多的故障累积假设,该假设早在1924年由Palmgren及1925年由Miner整理出来。该假设完成了从单级应力载荷使用寿命到多级应力载荷使用寿命的计算。在一个单一振动周期内的损伤为:

公式

式中,Ni为在应力载荷水平σai上的沃勒线断裂振动循环次数。
    如果在应力载荷水平σai上出现频率为ni的交变载荷,则在该水平Di上的损伤为:

公式

    将在一个集内的所有振动周期导致的损伤相加,可以得出损伤总和:

 公式

式中,i为集的层级(1≤i≤l);ni为第i层级上的振动循环次数;σai为第i层级上应力载荷幅值(图1-3-20)。

使用寿命的计算

图1-3-20使用寿命的计算

根据定义,当损伤总和达到临界值1时,构件发生失效:

  公式  

    (2)对PalmgrenMinder法则的修正根据Miner的损伤假设,在疲劳强度以下的所有应力载荷振幅不会对构件造成损伤。但是,低于疲劳强度的应力振幅试验结果表明,应力振幅同样会对寿命有影响。这导致了对Miner法则修正方法的开发。
    最著名的修正是来自CortenDolan和Haibach[1]。在这两种方法中,持久强度直线都经过极限载荷循环次数延伸进沃勒图中。CortenDolan认为(“Miner基本”)延伸为直线;Haibach则认为(“Miner修正”)沃勒线以斜率(2k-1)在长期强度区域扩展(图1320)。根据Miner方法,要计算长期强度区域的损伤,如同在持久强度区域中一样,都要先求出相应的沃勒线斜率。
    (3)相对Miner法则实践表明,构件在损伤总和D大于1或者小于1时,也会发生失效。其原因为PalmgrenMiner方法只能对疲劳的复杂过程加以简化描述。另外,通常在振幅和载荷循环次数中假设的载荷集只能是对实际载荷的近似,或者局部材料行为与在试验条件下用试样得到的结果有偏差。不过,实践也表明了,采用近似材料和近似使用条件的构件的损伤总和值也近似。为了能够在新结构评估中利用在结构强度试验中获得的关于过去构件或者试样的经验,可采用相对Miner法则。在该法则中,不将损伤总和D=1假设作为失效标准,而是采用以前类似的结构强度试验中得到的损伤总和Dref作为标准。在这种情形下,对结构有:

公式

    如果在参考试验中计算损伤总和达到了1.5,则对新的结构有相同的损伤值。
1.3.8对沃勒线进行仿真
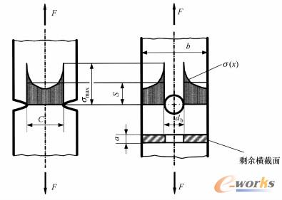
    基于局部应力的寿命计算需要了解构件的局部沃勒线(见书后彩图1-3-21)。局部沃勒线可能会偏离通过试样获得的沃勒线很远。当构件还是虚拟的、在实际中还不存在的时候,要通过试验方法求出构件的局部性能是非常困难的,所以这里可以采用仿真的方法。局部抗振强度受到很多因素的影响,如形状(缺口、尺寸)或者制造过程(铸造、锻造、切削)。下面举例说明影响因素之一——不规则应力分布的支撑作用。关于对工艺因素影响的介绍可参见参考文献[13]~[16]。
    1缺口与载荷类型
    缺口、承受弯曲应力载荷的区域或者承受不规则力流的应力载荷构件的特征是:应力水平变化曲线是不规则的。这种不规则性可以通过对应力求导来列出针对参数应力梯度χ或者基于局部应力的相对应力梯度χ*的表达式(图1-3-22):

公式

在缺口根部的应力下降

图1-3-22在缺口根部的应力下降 

    从有限元结果可以简便地计算出应力梯度,并可将其用于应力评估以及用来描述在拉/压载荷、弯曲载荷作用下与在缺口状态下对沃勒线性能的影响。
    2拉/压—弯曲—梯度概念
如同承受弯曲载荷的桁梁,缺口上的应力会沿着法向向缺口根部下降。在桁梁上,沿着上侧和下侧之间弯曲中心线的法向,可以很容易对应力下降情形进行定义(图1323)。与不受干扰的应力变化曲线相比,在这两种情形下,材料在振动载荷下表现出更高的局部承载应力,这种现象可以归纳为支撑作用。

缺口与弯曲试样的应力梯度

图1-3-23缺口与弯曲试样的应力梯度

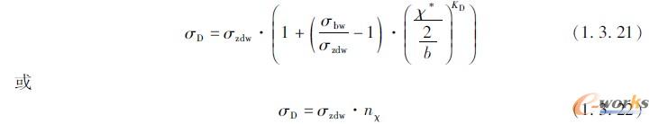
    为了表示应力梯度对一个任意构件疲劳强度的影响,在下面的模型中,从两个抗振强度值出发:
    ●承受拉/压载荷的无缺口试棒的疲劳强度σzdw,相对应力梯度为χ*=0。
    ●厚度为b的弯曲试样的疲劳强度,相对应力梯度χ*=2/b。
    为了描述具有任意应力梯度构件的疲劳强度,现在必须对这些值进行内插与外推。经验表明,疲劳强度与应力梯度之间的关系不是成线性比例变化的,而是随着梯度的增加,疲劳强度的增加变得平缓(图1-3-24)。

与应力梯度相关的107循环次数的抗振强度
图1-3-24与应力梯度相关的107循环次数的抗振强度 

    为了描述这一内在关系,采用了由指数KD表征的指数表达式:

公式

根据方程式(1.3.4),要求出用于寿命计算的沃勒线还需要另外两个参数:极限载荷循环次数ND和斜率k。一般来说,随着缺口增大,沃勒线的斜率变得更陡峭,极限载荷循环次数减少。为了描述极限载荷循环次数ND的曲线和沃勒线斜率k,事先给出与试验结果相对应的在小的或者非常高的χ*下的相应的最小值和最大值(NDmin,NDmax,kmin,kmax)。同样地,也选择了指数为Kn和Kk的指数表达式来表示这些极限值之间的参数:

公式

    借助方程式(1.3.21)~(1.3.24)可以定义带有缺口或者不规则应力分布的构件的沃勒线,并将其用于复杂几何形状构件的寿命计算。这种方法可用来计算有几千个或者数十万自由度的有限元结构,也可以高效地计算出结构上每个节点的沃勒线,并由此计算出结构的寿命。见书后彩图1-3-25所示为用于一些金属材料的指数KD的特征值。
1.3.9小结与展望
    通过现代应力计算方法(如有限元方法),可以对构件的材料利用进行进一步优化,从而设计出更轻的构件。要实现轻量化设计,除了应力计算方法提供的局部应力知识外,还需要了解材料的局部强度性能方面的知识。材料局部强度性能的影响因素有很多,如:
    ●应力载荷类型(拉/压、弯曲、扭转)。
    ●几何形状和尺寸。
    ●温度。
    ●平均应力。
    ●多轴载荷。
    ●边界层(表面形状、自应力、晶粒、硬度)。
    ●载荷顺序。
    ●表面特性。
    ●制造方法(如铸造、成型、切削或者焊接)。
    ●腐蚀等。
    这些因素的影响可以使构件的强度增加或者减小。在诸多影响因素同时出现的情况下,影响的效果会增强或者减弱。由于成本和时间的原因,无法通过试验得出构件在整个寿命期间的抗振强度,而只能是在一些点上进行试验,因此有必要采用仿真的方法。在相关因素的影响方面,还有很多问题需要解答,特别是从试验中得到的结果如何用于真实的构件。对于这些问题,都需要进行大量的研究工作,以便于进一步扩展和改进现有的用于寿命计算的模型。
    术语表
    A面积
    D损伤
    Dc临界损伤总和
    E弹性模量
    F面积
    ε应变
    Kt缺口数
    k沃勒线斜率
    k2在长期强度区域内沃勒线的斜率
    N载荷循环次数
    ND极限载荷循环次数
    n支撑数
    nχ基于应力梯度的支撑数
    R应力比例
    Rm断裂强度
    Rp屈服强度
    S名义应力
    σ局部应力
    σaD极限载荷循环次数下的抗振强度,疲劳强度
    σzdw拉/压载荷下的疲劳强度
    σbw弯曲载荷下的疲劳强度
    σv比较应力
    Τ名义剪应力
    τ剪应力
     χ*相对应力梯度