第二章 第2章 车辆简化模型及振动
第二节 2-2 单质量车身振动及特性
2.2.1单质量车身振动微分方程
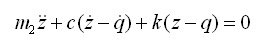
图2-6是分析车身振动的单质量系统模型,由车身质量m2和弹簧刚度k、减振器阻尼系数为c的悬架组成,q为路面激励不平度函数,它是沿路前进方向的坐标 x为参数的随机过程。
图2-6 单质量车身振动模型
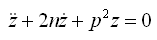
取车身垂直位移坐标z的原点在静力平衡位置,可得到系统运动的微分方程为
(2-7)
(2-8)
2.2.2单质量系统的自由振动响应
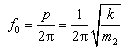
令
(2-9)
(2-10)
(2-11)


由式(2-11)可知,有阻尼的自由衰减振动,车身质量m2以有阻尼的固有频率


图2-7 自由衰减振动曲线
由上图2-7可知,阻尼对自由振动有两个方面的影响(1)阻尼使固有频率降低
如果无阻尼自由振动系统原固有频率

(2-12)
由于汽车悬架系统的阻尼比ξ在0.25左右,因此,阻尼是悬架系统的固有频率仅下降了3%左右,可以忽略不计,所以,工程上小阻尼振动系统的固有圆频率p',可以近似地认为等于无阻尼振动系统的固有圆频率p,即p≈p'。因此,车身振动的固有圆频率和固有频率,分别为
(2-13)
(2-14)
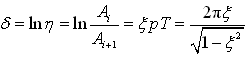
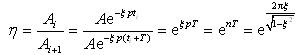
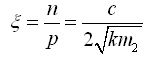
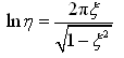
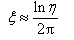
设相邻两振幅分别为Ai和Ai+1(见图2-7),它们的比值η称为减幅系数
(2-15)
令

(2-16)
(2-17)

(2-18)
2.2.3单质量系统在简谐激振力下的响应
由于阻尼会使自由振动逐渐衰减,最后达到完全停止。工程上大都是一些能持续下去的振动必定有外加能源,弥补阻尼所消耗的能量,使系统的振动不会衰减。因此,工程上只是关系强迫振动的响应。若简谐激振力


(2-19)
(2-20)

振动微分方程式(2-20)的解包括两部分:齐次方程的通解Z1和方程的特解Z2,即
(2-21)
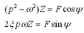
振动微分方程式(2-20)的特解Z2,代表系统在简谐激振下所产生的强迫振动,它是一种持续的等幅振动,故为稳态振动。设特解Z2为
(2-22)
又因为

(2-24)
(2-25)
(2-26)



因此,可得

(2-28)


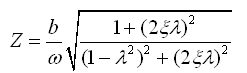
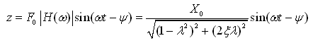
因此,强迫振动的稳态解为

由上述强迫振动解可见:在简谐激振力作用下,强迫振动响应为也简谐振动,其频率与激振频率ω相同,但相位角滞后Ψ,这是由于阻尼存在的关系。振幅Z与相位差Ψ都只与系统固有特性及激振力的性质有关,而与初始条件无关。
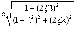
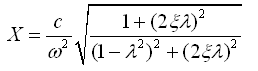
由式(2-27)可得,Z与Z0之比β,称为放大因子,即
(2-30)
在不同的阻尼比ξ值情况下,放大因子β与频率比λ的关系以及相角Ψ与λ的关系,如图2-8和图2-9所示。其中,图2-8称为幅频响应曲线,而图2-9称为相频响应曲线。
图2-8 幅频响应曲线
图2-9 相频响应曲线
由图2-8和图2-9可知:(1)当λ<<1,即激振频率ω远小于系统的固有频率p时,无论阻尼大小如何,β接近于1,即振幅近似等于激振力幅值F0作用下的静变形X0。故在低频区内,振幅X主要由弹簧刚度控制。此时,相位差Ψ≈0,即位移与激振力接近于同相位。
(2)当λ>>1,即激振频率ω远大于系统的固有频率p时,β趋近于0。因为激振力方向改变太快,振动物体由于惯性来不及跟随,几乎停止不动。故在高频区内,振幅X主要决定于系统的惯性。这一特性正是隔振和惯性传感器的理论依据。相位差Ψ≈π,即在高频范围内位移与激振力接近于反相位。
(3)当λ≈1时,即ω接近p,振幅X急剧增加,β趋向βmax,这种现象称为共振。严格地讲,βmax发生在



可见在共振时,振幅最大值Ζmax与阻尼比ξ的值有关,ξ越小,则Ζmax将越大;在ξ→0时,Ζmax可达到无穷大。但共振时的Ψ值与阻尼比ξ的值无关,不论ξ为何值,共振时的Ψ总是π/2,这是共振时一个重要特征。从分析幅频响应与相频响应所引出的共振现象,是传统的共振试验法测定系统固有频率的理论基础。
2.2.4单质量系统在单位谐波函数激励下的响应
单位谐波函数激励为复数形式的单位幅值简谐激振力,即
(2-31)
(2-32)

(2-33)

(2-34)
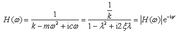
频率响应函数的模为

频率响应函数的相位差角为

将复数形式的简谐激振力

(2-35)
2.2.5单质量系统振动响应的付氏积分法
激励函数f(t)的傅氏积分形式为
(2-36)
式中, (2-37)
通常响应函数z(t),它可以用傅氏积分式(2-36)表示为
(2-38)

可以把非周期函数看成是由无数个复振幅为

(2-39)
(2-40)
(2-41)


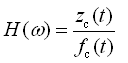
2.2.6单质量车身在路面激励下的振动响应
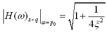
对式(2-8)通常关心其稳态随机响应,它取决于路面不平度函数随机激励q(χ)和系统的频率响应特性函数Η(ω)。由上可知,系统频率响应函数Η(ω)z~q为系统的振动响应Ζ的付氏变换与激励q的傅氏变换之比,即
(2-42)
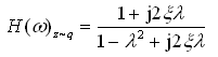
对式(2-8)进行付氏变换,可得单质量车身在路面激励下响应的频响函数为
(2-43)


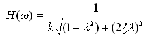
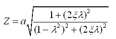
由式(2-43)得为单质量车身在路面激励下的幅频特性和相频特性,分别为
幅频特性为
(2-44)
(2-45)

(2-46)

(2-47)

(2-48)

(2-49)

图2-10 单质量系统的幅频特性曲线
由幅频特性频响函数式(2-44)和图2-10可知(1)当频率比λ=1时,系统出现共振,幅频特性达到最大,即共振时的幅值,
(3)共振段(0.75≤λ≤√2), |Η(ω)z~q|出现峰值,将输入激励放大,增大阻尼比ξ,可使共振峰值明显降低;
(4)高频段(λ≥√2),其中,当λ=√2时,|Η(ω)z~q|=1,系统响应与阻尼比ξ无关;当λ>√2时, |Η(ω)z~q|<1,对输入位移有衰减作用,且阻尼比减小对减振有利。