第二章 第2章 车辆简化模型及振动
第五节 2-5 “人车”三自由度系统的振动
2.5.1“人-车”系统振动模型
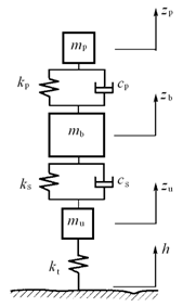
在单轮模型基础上,增加乘员座椅模型,即为考虑乘员座椅的单轮模型,如图2-17所示。
图2-17 考虑乘员座椅的单轮模型
图2-17中,mb为一个单轮上对应的车身质量,即簧上质量;ks为车身悬架弹性系数;cs为车身悬架阻尼系数;mp为一个车轮上对应的座椅和人体质量;kp和cp分别是座椅弹性系数和阻尼系数;mu为簧下质量,kt为轮胎刚度。
对于图2-17所示的三质量振动系统,其振动微分方程为
(2-76)
(2-77)
(2-78)
①

②

③

④

⑤

⑥

⑦

⑧

⑨

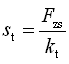
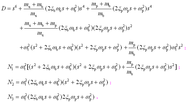
根据式(2-76)~式(2-78),可以求出对行驶安全性有重要影响的车轮动载荷为
(2-79)
2.5.2振动响应传递特性
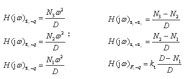
为求出各响应量对路面不平度q的频率响应函数,对式(2-76)~式(2-78)两边求拉氏变换,其中,振动响应位移zu,zb和zp的付氏变化分别为Zu,Zb和Zp,路面不平度q的付氏变化为Q。因此,可求的振动位移响应zu,zb和zp对路面不平度输入q的传递函数,它们分别为
(2-80)

令zu,zb和zp传递函数式(2-79)中的s=jω,即得到振动位移响应zu,zb和zp对路面不平度输入q的频率响应函数,即
(2-81)
(2-82)